Chatbox

9 ème-التاسعة أساسي

Chargement 0%
Aucun texte alternatif disponible.

Confirmer?


Photo de Mesfar Nejah
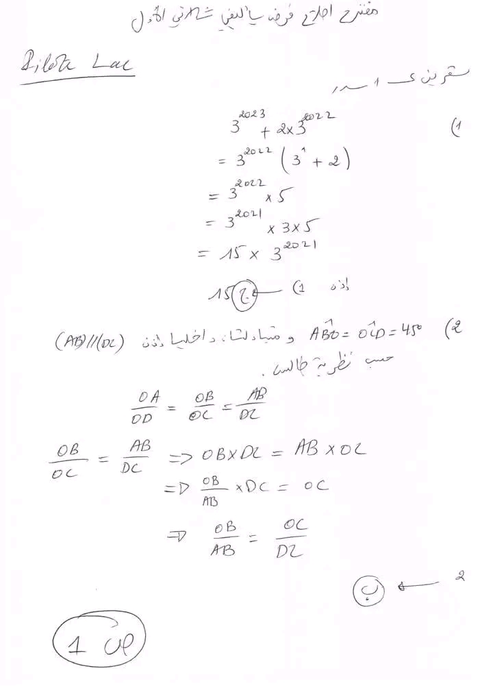
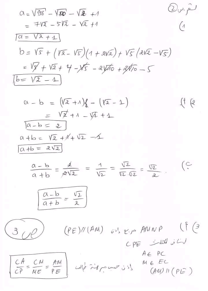
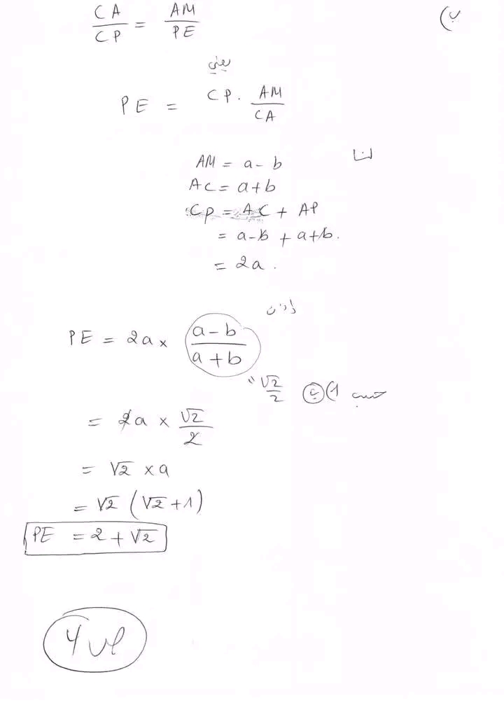
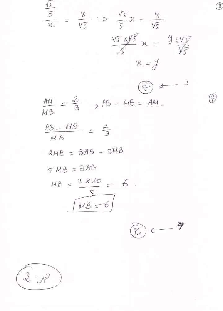
فرض تاليفي عدد 1 تاسعة اساسي مراجعة عامة لثلاثي الاول واستعداد لمناظرة النوفيام2026
Preview
1766510154202.jpg
0
Preview
1766510155940.jpg
0
Preview
1766510158296.jpg
0
Preview
1766510159959.jpg
0
Preview
1766510161960.jpg
0
Preview
1766510163686.jpg
0
Preview
1766510165270.jpg
0
Preview
1766510166984.jpg
0

Notre chaîne Classi.tn ❤️

Rejoignez notre communauté sur Messenger pour ne rien rater de nos actualités, astuces et contenus exclusifs !

Messenger
Classi.tn - Plateforme éducative tunisienne
Rejoindre la chaîne
Communauté active
Notifications exclusives
Contenus éducatifs