Chatbox
9 ème-التاسعة أساسي
Ajouter des photos
Chargement
0%
classi.tn
Connexion
Confirmer?
Supprimer
Annuler
+
Créer une publication
9 ème-التاسعة أساسي
منتدى التاسعة
عربية
Français
English
Math
فيزياء
ت.تكنولوجية
علوم الحياة والأرض
Informatique
ت.إسلامية
ت.مدنية
تاريخ
جغرافيا
لغة
Membres
Math ( 737 )
ف.تاليفي في الرياضيات سنة تاسعة اساسي
فرض تاليفي ثلاثي اول - رياضيات سنة تاسعة
فرض تاليفي1 سنة تاسعة
Voir Tout
9 ème-التاسعة أساسي
Annuler
Enregistrer
Rejoindre classe
Annuler
Enregistrer
Mesfar Nejah
2025-09-08 • 10:39
Math
⋯
Ouvrir dans un nouvel onglet
Copier lien
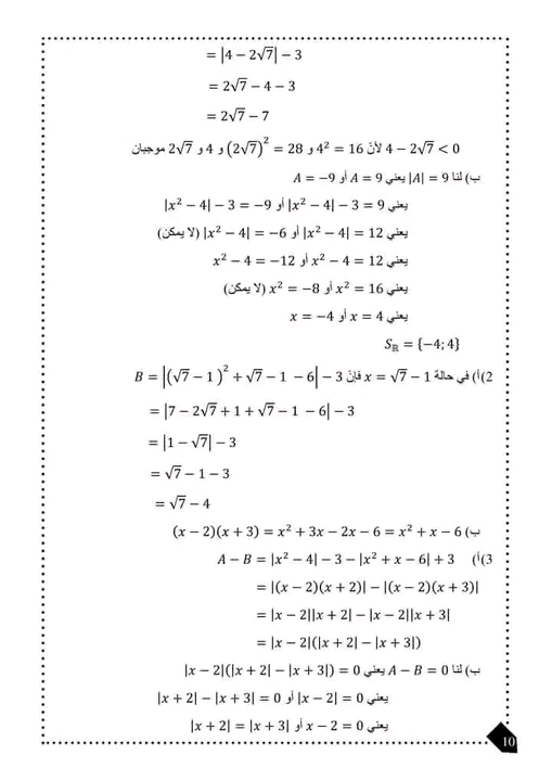
مناظرة تجريبية ممتازة مرفقة بالاصلاح دورة 2021
رياضيات سنة تاسعة
المشتركون والأعضاء الفاعلة في الموقع لهم أولوية التحميل، لكن يمكنك الانتظار 20 ثانية
اشترك الان
1757324282073.jpg
20
Télécharger
1757324283621.jpg
20
Télécharger
1757324285010.jpg
20
Télécharger
1757324286413.jpg
20
Télécharger
1757324287843.jpg
20
Télécharger
1757324289138.jpg
20
Télécharger
1757324290465.jpg
20
Télécharger
1757324291759.jpg
20
Télécharger
1757324293152.jpg
20
Télécharger
1757324294465.jpg
20
Télécharger
📄
Télécharger le PDF
0