Chatbox
9 ème-التاسعة أساسي
Ajouter des photos
Chargement
0%
classi.tn
Connexion
Confirmer?
Supprimer
Annuler
+
Créer une publication
9 ème-التاسعة أساسي
منتدى التاسعة
عربية
Français
English
Math
فيزياء
ت.تكنولوجية
علوم الحياة والأرض
Informatique
ت.إسلامية
ت.مدنية
تاريخ
جغرافيا
لغة
Membres
Math ( 737 )
ف.تاليفي في الرياضيات سنة تاسعة اساسي
فرض تاليفي ثلاثي اول - رياضيات سنة تاسعة
فرض تاليفي1 سنة تاسعة
Voir Tout
9 ème-التاسعة أساسي
Annuler
Enregistrer
Rejoindre classe
Annuler
Enregistrer
Mesfar Nejah
2025-06-03 • 08:40
Math
⋯
Ouvrir dans un nouvel onglet
Copier lien
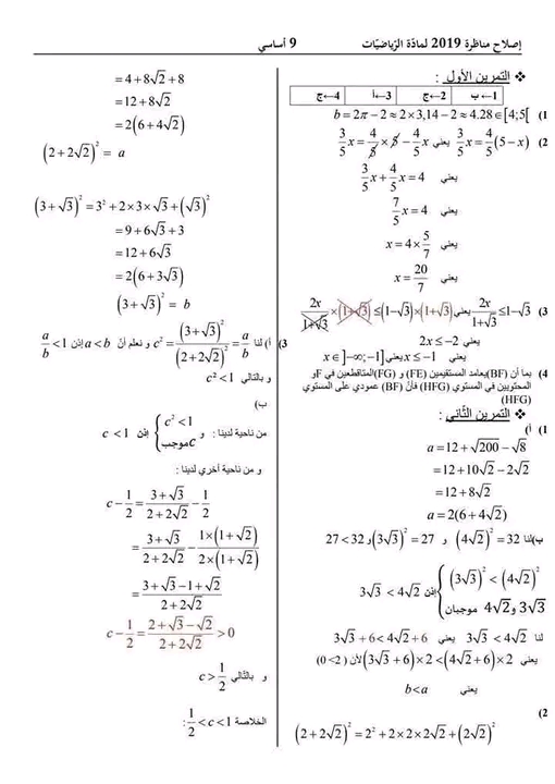
الاختبار الوطني في الرياضيات دورة 2019 مرفق بالاصلاح
المشتركون والأعضاء الفاعلة في الموقع لهم أولوية التحميل، لكن يمكنك الانتظار 20 ثانية
اشترك الان
1748936359646.jpg
20
Télécharger
1748936361059.jpg
20
Télécharger
1748936362432.jpg
20
Télécharger
1748936363707.jpg
20
Télécharger
1748936365012.jpg
20
Télécharger
1748936367549.jpg
20
Télécharger
📄
Télécharger le PDF
0