Chatbox
9 ème-التاسعة أساسي
Ajouter des photos
Chargement
0%
classi.tn
Connexion
Confirmer?
Supprimer
Annuler
+
Créer une publication
9 ème-التاسعة أساسي
منتدى التاسعة
عربية
Français
English
Math
فيزياء
ت.تكنولوجية
علوم الحياة والأرض
Informatique
ت.إسلامية
ت.مدنية
تاريخ
جغرافيا
لغة
Membres
Math ( 737 )
ف.تاليفي في الرياضيات سنة تاسعة اساسي
فرض تاليفي ثلاثي اول - رياضيات سنة تاسعة
فرض تاليفي1 سنة تاسعة
Voir Tout
9 ème-التاسعة أساسي
Annuler
Enregistrer
Rejoindre classe
Annuler
Enregistrer
Kaouach akram
Prof
2024-05-07 • 01:13
Math
⋯
Ouvrir dans un nouvel onglet
Copier lien
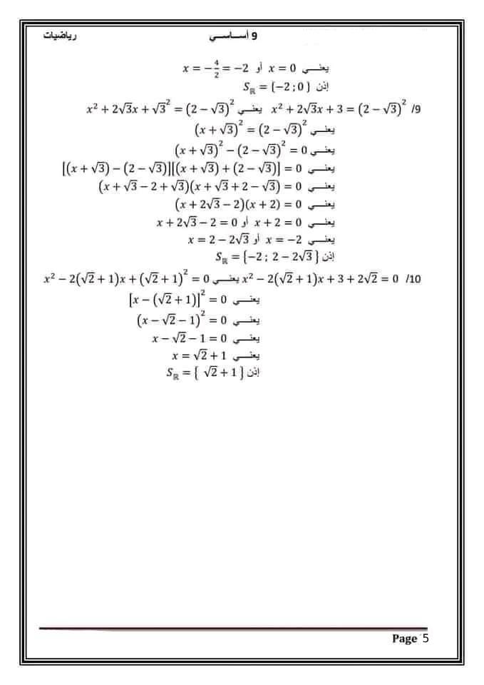
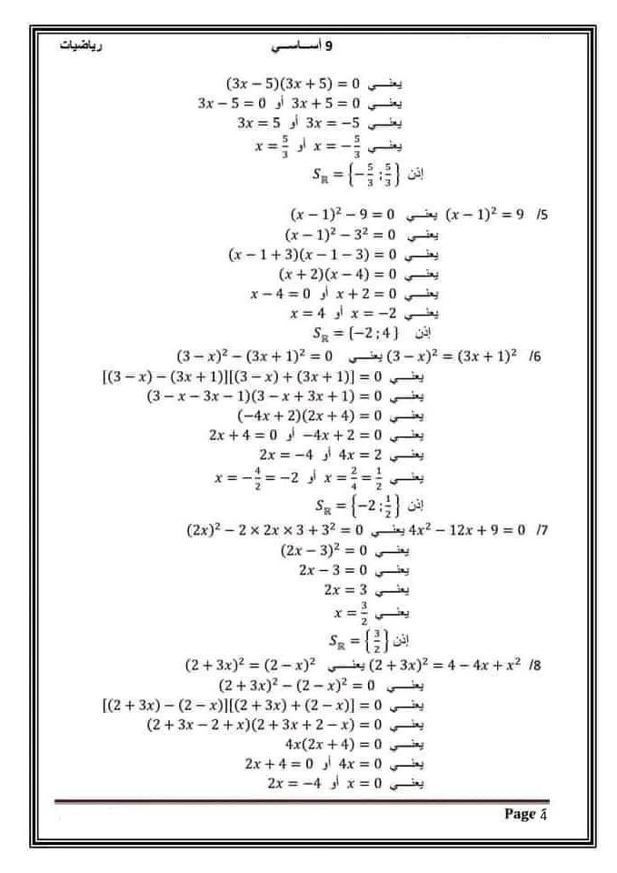
تمارين معادلات من درجة أول ذات مجهول واحد
المشتركون والأعضاء الفاعلة في الموقع لهم أولوية التحميل، لكن يمكنك الانتظار 20 ثانية
اشترك الان
1025205_1.jpg
20
Télécharger
1025205_2.jpg
20
Télécharger
1025205_3.jpg
20
Télécharger
1025205_4.jpg
20
Télécharger
1025205_5.jpg
20
Télécharger
📄
Télécharger le PDF
0