Chatbox

1ère année secondaire

Chargement 0%
Aucun texte alternatif disponible.

Confirmer?

Rechercher dans cette classe


📹 VIDÉOS MATH ET INFO EN LIGNE
Publicité vidéo
Regarder des séances math en ligne enregistrées
Des cours en vidéo pour améliorer votre apprentissage

Math 295

Rapports trigonométriques d'un angle aigu . 6

Relations métriques dans un triangle rectangle 0

Somme de deux vecteurs -vecteurs colinéaires 3

Systèmes de deux équations à deux inconnues 14

Géométrie dans l'espace 3

🎯 Examens du Deuxième Trimestre

📚 Préparez vos examens

Découvrez tous les examens et exercices du deuxième trimestre au même endroit!

Photo de Sami Mesfar
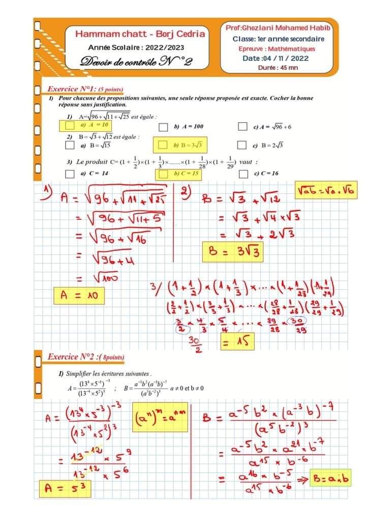
correction du devoir de contrôle n°2
+15
"
❤️ 1
Chargement...
0 Commentaires
  

Commentaires

Aucun commentaire pour le moment.

Photo de Mesfar Nejah

✅ 1er Année Secondaire 

🎯 DC N°2 avec correction 

✍️ Ammar bouajila et Chokri Trabelsi

+7
"
0 Commentaires
  

Commentaires

Aucun commentaire pour le moment.

Photo de Sami Mesfar
Exercice d'un devoir de contrôle N°2 Math 

Question 1 sur 3

CHOIX UNIQUE

1) \( A = \sqrt{96 + \sqrt{11 + \sqrt{25}}} \) est égale :

❤️ 1
Chargement...
2 Commentaires
  

Commentaires

Islem AbichouIslem Abichou
Oui s’il vous plaît!
Le 2025-10-31 à 13:34:00
Islem AbichouIslem Abichou
Oui s’il vous plaît!
Le 2025-10-31 à 13:34:00
Photo de Classi.tn
qcm

Question 1 sur 4

CHOIX UNIQUE

1) Quel est le nombre premier parmi ces nombres

0 Commentaires
  

Commentaires

Aucun commentaire pour le moment.

Photo de Amir
Devoir de Contrôle Math N°1  , 1èré année 
❤️ 1
Chargement...
0 Commentaires
  

Commentaires

Aucun commentaire pour le moment.

Photo de Sami Mesfar
correction du devoir de contrôle n°1
+5
"
👍 1
Chargement...
0 Commentaires
  

Commentaires

Aucun commentaire pour le moment.

Photo de Sami Mesfar
correction du devoir de contrôle n°1
+15
"
0 Commentaires
  

Commentaires

Aucun commentaire pour le moment.

Photo de Sami Mesfar
correction du devoir de contrôle n°1
+13
"
👍 1
Chargement...
0 Commentaires
  

Commentaires

Aucun commentaire pour le moment.

Photo de Classi Interactif
Devoir de contrôle n°1 mathématiques pilote sfax avec correction 
+7
"
0 Commentaires
  

Commentaires

Aucun commentaire pour le moment.

Photo de Classi Interactif
Devoir de contrôle n°1 Mathématiques avec correction 
+1
"
0 Commentaires
  

Commentaires

Aucun commentaire pour le moment.

Photo de Kaouach akram
Devoir de Math contrôle 1
1 ère année secondaire
0 Commentaires
  

Commentaires

Aucun commentaire pour le moment.

Photo de Mesfar Nejah
Correction du devoir de contrôle N°1 pour 1ère année
Lycée pilote Bourguiba Tunis
Mr Chokri Trabelsi
+6
"
0 Commentaires
  

Commentaires

Aucun commentaire pour le moment.

Photo de Classi.tn
Devoir contrôle
1er année secondaire
+2
"
0 Commentaires
  

Commentaires

Aucun commentaire pour le moment.

Photo de Mesfar Nejah
✅1 ère année
📌Devoir contrôle math +Correction
+2
"
0 Commentaires
  

Commentaires

Aucun commentaire pour le moment.

Photo de Mesfar Nejah
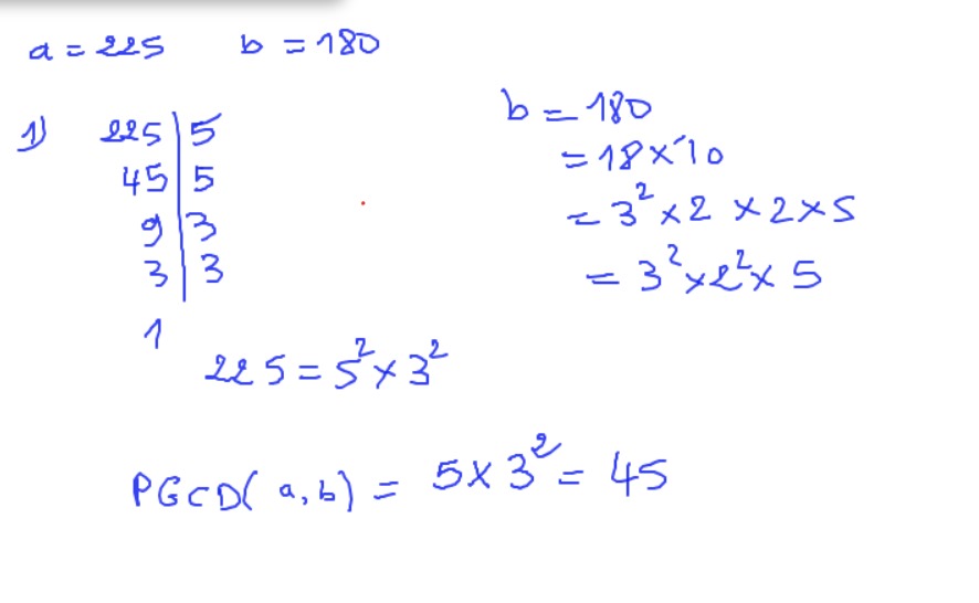
Correction devoir de contrôle n1math 1er année secondaire 🔥🔥🔥👇 Exercice N°1 (5pts) ‎a) Décomposition en facteurs premiers: ‎ ‎700 = 2² × 5² × 7 ‎168 = 2³ × 3 × 7... Afficher suite
0 Commentaires
  

Commentaires

Aucun commentaire pour le moment.

Photo de Mesfar Nejah
Mathématique-1ère année secondaire🌹
Devoir de contrôle n°1 avec corrigé ✅
+3
"
0 Commentaires
  

Commentaires

Aucun commentaire pour le moment.

Photo de Ademazzouz
devoir de contrôle n2 math
0 Commentaires
  

Commentaires

Aucun commentaire pour le moment.

Photo de Classi.tn
devoir de contrôle2 math+correction
+2
"
1
0 Commentaires
  

Commentaires

Aucun commentaire pour le moment.

Photo de Classi.tn
1ère année
Devoir de contrôle 2math + Corrigé
+4
"
1
1
0 Commentaires
  

Commentaires

Aucun commentaire pour le moment.

Photo de Classi.tn
Devoir de contrôle N°2 Math +Correction
1er annee secondaire
+3
"
1
0 Commentaires
  

Commentaires

Aucun commentaire pour le moment.

classi.tn
🤖 classi.tn
مرحبًا! ماذا تريد أن تفعل اليوم؟