Chatbox

1ère année secondaire

Chargement 0%
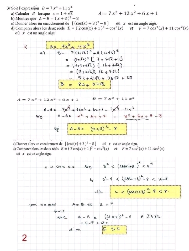
Aucun texte alternatif disponible.

Confirmer?

Rechercher dans cette classe


📹 VIDÉOS MATH ET INFO EN LIGNE
Publicité vidéo
Regarder des séances math en ligne enregistrées
Des cours en vidéo pour améliorer votre apprentissage

Math 295

Rapports trigonométriques d'un angle aigu . 6

Relations métriques dans un triangle rectangle 0

Somme de deux vecteurs -vecteurs colinéaires 3

Systèmes de deux équations à deux inconnues 14

Géométrie dans l'espace 3

🎯 Examens du Deuxième Trimestre

📚 Préparez vos examens

Découvrez tous les examens et exercices du deuxième trimestre au même endroit!

Photo de Amir

Série N°1 : Activités algébriques .

pour 1 ère année (énoncé + correction) .

+7
"
0 Commentaires
  

Commentaires

Aucun commentaire pour le moment.

Photo de المؤدب
 Télécharger 
revi_c1.pdf
0 Commentaires
  

Commentaires

Aucun commentaire pour le moment.

Photo de Amir
Activités algèbriques , 1ère année
+1
"
0 Commentaires
  

Commentaires

Aucun commentaire pour le moment.

Photo de Sami Mesfar
correction du devoir de contrôle n°2
+15
"
❤️ 1
Chargement...
0 Commentaires
  

Commentaires

Aucun commentaire pour le moment.

Photo de Mesfar Nejah

✅ 1er Année Secondaire 

🎯 DC N°2 avec correction 

✍️ Ammar bouajila et Chokri Trabelsi

+7
"
0 Commentaires
  

Commentaires

Aucun commentaire pour le moment.

Photo de Amir
 Théorème de Thalès et Sa Réciproque
+2
"
❤️ 1
Chargement...
0 Commentaires
  

Commentaires

Aucun commentaire pour le moment.

Photo de Sami Mesfar

quizz math dc2

Question 1 sur 3

CHOIX UNIQUE

Soit \(M = \left(1 - \frac{1}{2}\right)\left(1 - \frac{1}{3}\right)\left(1 - \frac{1}{4}\right) \times \ldots \times \left(1 - \frac{1}{2021}\right)\left(1 - \frac{1}{2022}\right)\) alors \(M\) est égale :

0 Commentaires
  

Commentaires

Aucun commentaire pour le moment.

Photo de Sami Mesfar
Exercice d'un devoir de contrôle N°2 Math 

Question 1 sur 3

CHOIX UNIQUE

1) \( A = \sqrt{96 + \sqrt{11 + \sqrt{25}}} \) est égale :

❤️ 1
Chargement...
2 Commentaires
  

Commentaires

Islem AbichouIslem Abichou
Oui s’il vous plaît!
Le 2025-10-31 à 13:34:00
Islem AbichouIslem Abichou
Oui s’il vous plaît!
Le 2025-10-31 à 13:34:00
Photo de Ammari kaiss
 Télécharger 
Devoir_de_Contrôle_N°1_-_Math_-_1ère_AS_(2023-2...
👍 1
Chargement...
0 Commentaires
  

Commentaires

Aucun commentaire pour le moment.

Photo de Ammari kaiss
 Télécharger 
Devoir_de_Contrôle_N°1_-_Math_-_1ère_AS__(2022-...
0 Commentaires
  

Commentaires

Aucun commentaire pour le moment.

Photo de Classi.tn
qcm

Question 1 sur 4

CHOIX UNIQUE

1) Quel est le nombre premier parmi ces nombres

0 Commentaires
  

Commentaires

Aucun commentaire pour le moment.

Photo de Amir
Devoir de Contrôle Math N°1  , 1èré année 
❤️ 1
Chargement...
0 Commentaires
  

Commentaires

Aucun commentaire pour le moment.

Photo de Mesfar Nejah
**Série N°1 : Activités Numérique II pour 1ère année avec correction **
+9
"
0 Commentaires
  

Commentaires

Aucun commentaire pour le moment.

Photo de Sami Mesfar
correction du devoir de contrôle n°1
+5
"
👍 1
Chargement...
0 Commentaires
  

Commentaires

Aucun commentaire pour le moment.

Photo de Ammari kaiss
0 Commentaires
  

Commentaires

Aucun commentaire pour le moment.

Photo de Ammari kaiss
0 Commentaires
  

Commentaires

Aucun commentaire pour le moment.

Photo de Ammari kaiss
Géométrie – Vocabulaire
 Télécharger 
vocabulaire-de-base.pdf
0 Commentaires
  

Commentaires

Aucun commentaire pour le moment.

Photo de Sami Mesfar
correction du devoir de contrôle n°1
+15
"
0 Commentaires
  

Commentaires

Aucun commentaire pour le moment.

Photo de Sami Mesfar
correction du devoir de contrôle n°1
+13
"
👍 1
Chargement...
0 Commentaires
  

Commentaires

Aucun commentaire pour le moment.

Photo de Sami Mesfar
correction géométrie 
+8
"
❤️ 1
Chargement...
0 Commentaires
  

Commentaires

Aucun commentaire pour le moment.

classi.tn
🤖 classi.tn
مرحبًا! ماذا تريد أن تفعل اليوم؟