Chatbox
1ère année secondaire
Ajouter des photos
Chargement
0%
classi.tn
Connexion
Confirmer?
Supprimer
Annuler
+
Créer une publication
1ère année secondaire
Forum 1AS
عربية
Français
English
Math
Physique
Technologie
التاريخ
التفكير الإسلامي
Sciences SVT
تربية مدنية
الجغرافيا
Informatique
Chimie
لغة
Membres
Math ( 295 )
Voir Tout
1ère année secondaire
Annuler
Enregistrer
Rejoindre classe
Annuler
Enregistrer
Mesfar Nejah
2024-09-25 • 23:03
Math
⋯
Ouvrir dans un nouvel onglet
Copier lien
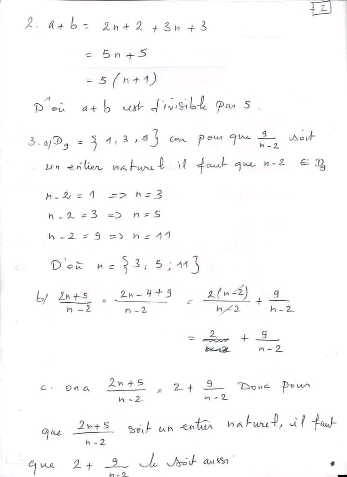
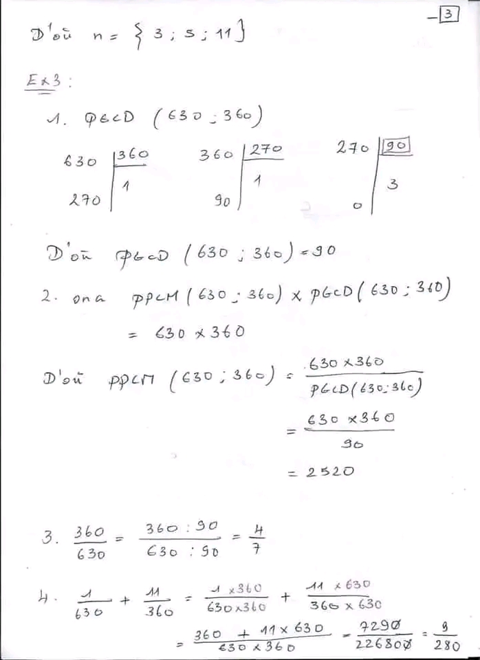
Mathématique-1ère année secondaire🌹
Devoir de contrôle n°1 avec corrigé ✅
المشتركون والأعضاء الفاعلة في الموقع لهم أولوية التحميل، لكن يمكنك الانتظار 20 ثانية
اشترك الان
1031001_2.jpg
20
Télécharger
1031001_3.jpg
20
Télécharger
1031001_4.jpg
20
Télécharger
1031001_5.jpg
20
Télécharger
1031001_6.jpg
20
Télécharger
📄
Télécharger le PDF
0