Chatbox
1ère année secondaire
Ajouter des photos
Chargement
0%
classi.tn
Connexion
Confirmer?
Supprimer
Annuler
+
Créer une publication
1ère année secondaire
Forum 1AS
عربية
Français
English
Math
Physique
Technologie
التاريخ
التفكير الإسلامي
Sciences SVT
تربية مدنية
الجغرافيا
Informatique
Chimie
لغة
Membres
Math ( 295 )
Voir Tout
1ère année secondaire
Annuler
Enregistrer
Rejoindre classe
Annuler
Enregistrer
Classi.tn
2022-05-07 • 23:38
Math
⋯
Ouvrir dans un nouvel onglet
Copier lien
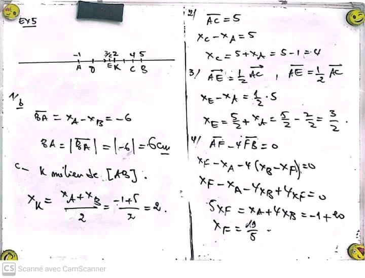
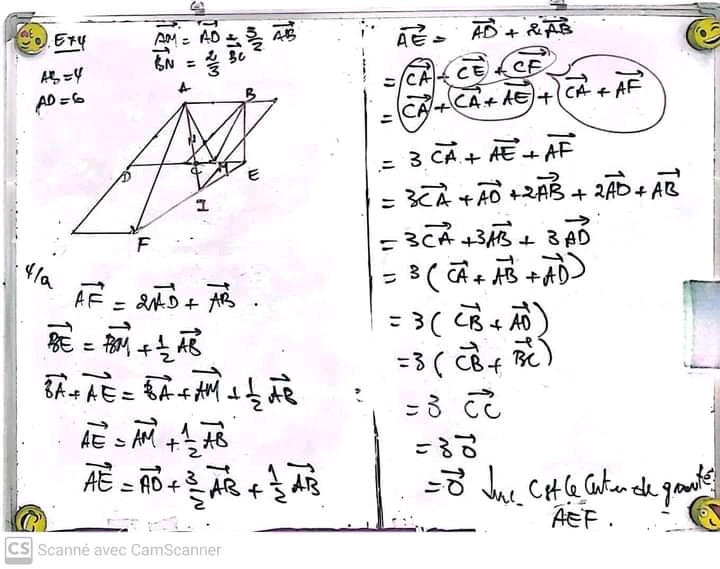
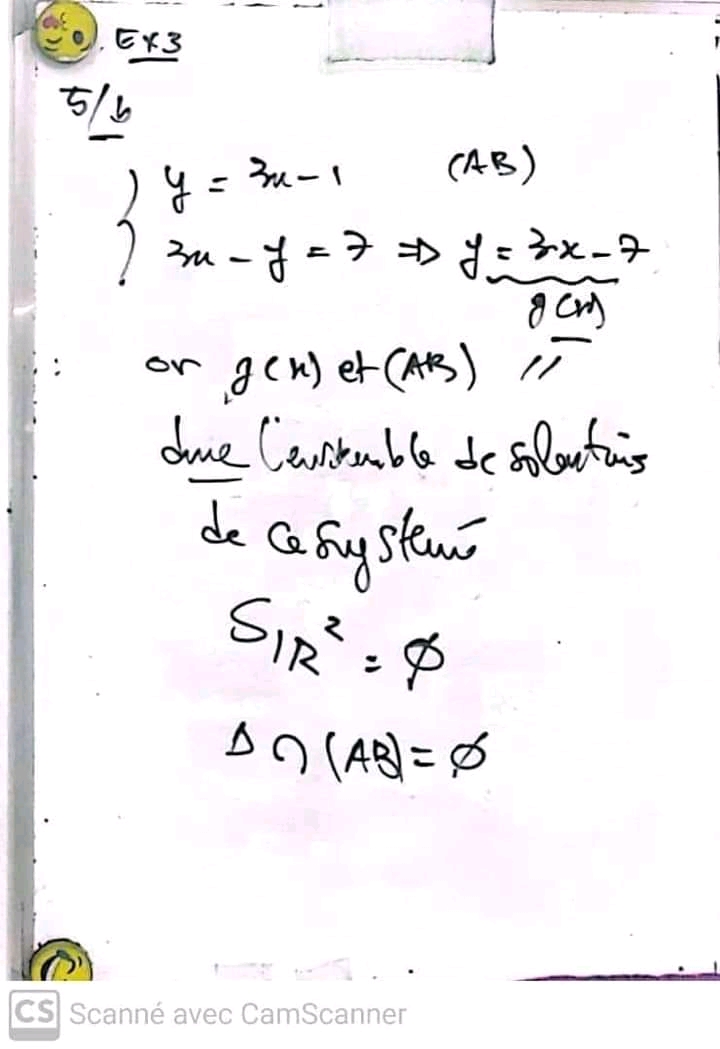
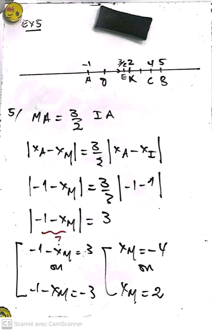
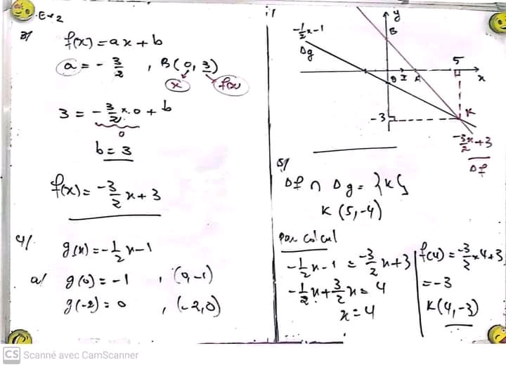
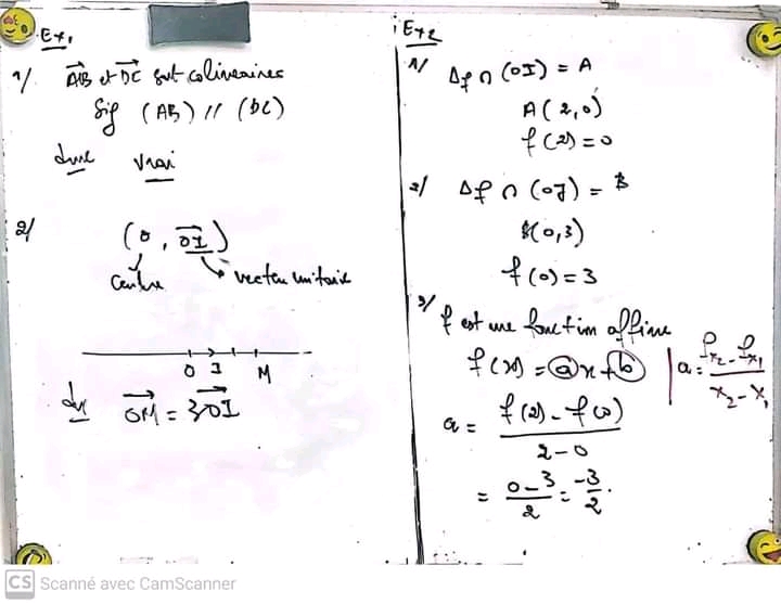
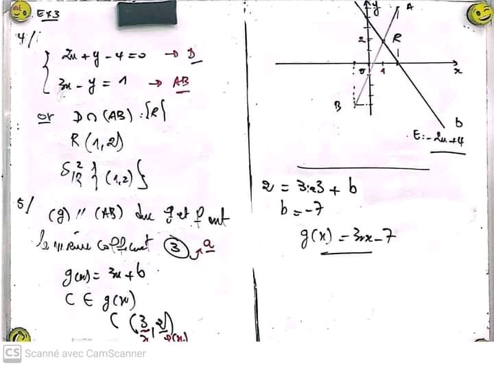
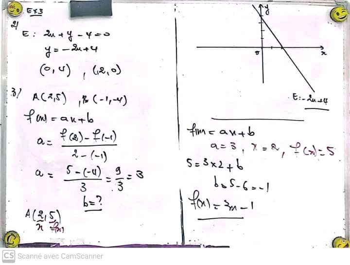
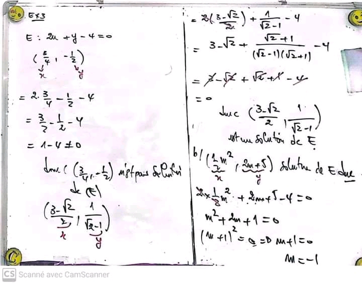
devoir de controle n 6 math avec corrige
fonction affine
systemes
vecteurs
المشتركون والأعضاء الفاعلة في الموقع لهم أولوية التحميل، لكن يمكنك الانتظار 20 ثانية
اشترك الان
5549_1.jpg
20
Télécharger
5549_10.jpg
20
Télécharger
5549_11.jpg
20
Télécharger
5549_12.jpg
20
Télécharger
5549_13.jpg
20
Télécharger
5549_2.jpg
20
Télécharger
5549_3.jpg
20
Télécharger
5549_4.jpg
20
Télécharger
5549_5.jpg
20
Télécharger
5549_6.jpg
20
Télécharger
5549_7.jpg
20
Télécharger
5549_8.jpg
20
Télécharger
5549_9.jpg
20
Télécharger
📄
Télécharger le PDF
0