Chatbox
1ère année secondaire
Ajouter des photos
Chargement
0%
classi.tn
Connexion
Confirmer?
Supprimer
Annuler
+
Créer une publication
1ère année secondaire
Forum 1AS
عربية
Français
English
Math
Physique
Technologie
التاريخ
التفكير الإسلامي
Sciences SVT
تربية مدنية
الجغرافيا
Informatique
Chimie
لغة
Membres
Math ( 295 )
Voir Tout
1ère année secondaire
Annuler
Enregistrer
Rejoindre classe
Annuler
Enregistrer
Classi.tn
2023-03-14 • 11:07
Math
⋯
Ouvrir dans un nouvel onglet
Copier lien
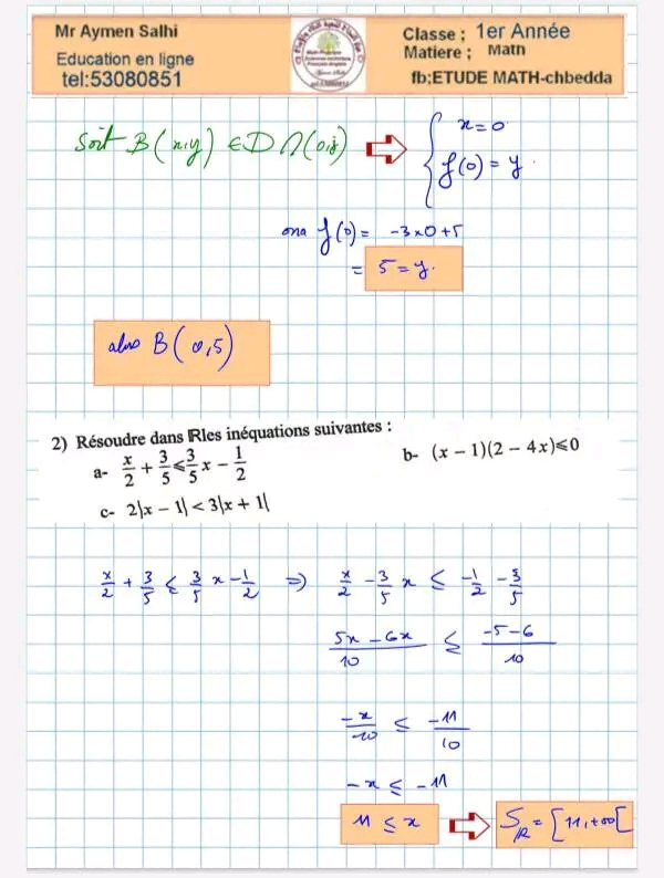
correction devoir de synthese n2 math
1er annee secondaire
المشتركون والأعضاء الفاعلة في الموقع لهم أولوية التحميل، لكن يمكنك الانتظار 20 ثانية
اشترك الان
21088_1.jpg
20
Télécharger
21088_10.jpg
20
Télécharger
21088_11.jpg
20
Télécharger
21088_2.jpg
20
Télécharger
21088_3.jpg
20
Télécharger
21088_4.jpg
20
Télécharger
21088_5.jpg
20
Télécharger
21088_6.jpg
20
Télécharger
21088_7.jpg
20
Télécharger
21088_8.jpg
20
Télécharger
21088_9.jpg
20
Télécharger
📄
Télécharger le PDF
0