Chatbox
1ère année secondaire
Ajouter des photos
Chargement
0%
classi.tn
Connexion
Confirmer?
Supprimer
Annuler
+
Créer une publication
1ère année secondaire
Forum 1AS
عربية
Français
English
Math
Physique
Technologie
التاريخ
التفكير الإسلامي
Sciences SVT
تربية مدنية
الجغرافيا
Informatique
Chimie
لغة
Membres
Math ( 295 )
Voir Tout
1ère année secondaire
Annuler
Enregistrer
Rejoindre classe
Annuler
Enregistrer
Classi.tn
2023-03-01 • 10:03
Math
⋯
Ouvrir dans un nouvel onglet
Copier lien
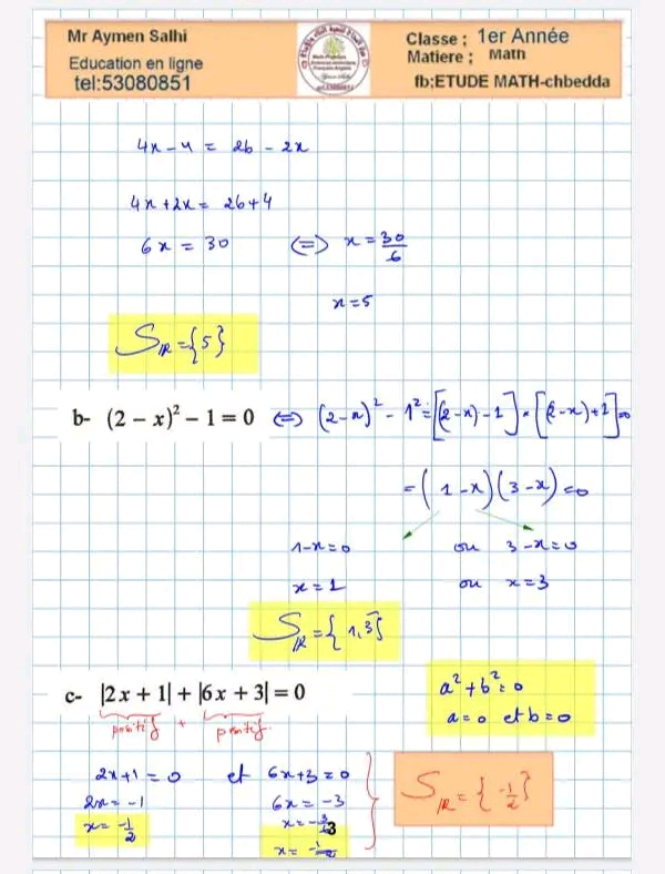
devoir de synthese n2 math+correction
1er annee secondaire
المشتركون والأعضاء الفاعلة في الموقع لهم أولوية التحميل، لكن يمكنك الانتظار 20 ثانية
اشترك الان
19943_1.jpg
20
Télécharger
19943_10.jpg
20
Télécharger
19943_11.jpg
20
Télécharger
19943_12.jpg
20
Télécharger
19943_13.jpg
20
Télécharger
19943_2.jpg
20
Télécharger
19943_3.jpg
20
Télécharger
19943_4.jpg
20
Télécharger
19943_5.jpg
20
Télécharger
19943_6.jpg
20
Télécharger
19943_7.jpg
20
Télécharger
19943_8.jpg
20
Télécharger
19943_9.jpg
20
Télécharger
📄
Télécharger le PDF
0