Chatbox
1ère année secondaire
Ajouter des photos
Chargement
0%
classi.tn
Connexion
Confirmer?
Supprimer
Annuler
+
Créer une publication
1ère année secondaire
Forum 1AS
عربية
Français
English
Math
Physique
Technologie
التاريخ
التفكير الإسلامي
Sciences SVT
تربية مدنية
الجغرافيا
Informatique
Chimie
لغة
Membres
Math ( 295 )
Voir Tout
1ère année secondaire
Annuler
Enregistrer
Rejoindre classe
Annuler
Enregistrer
Classi.tn
2023-01-09 • 10:36
Math
⋯
Ouvrir dans un nouvel onglet
Copier lien
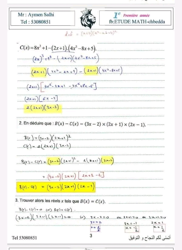
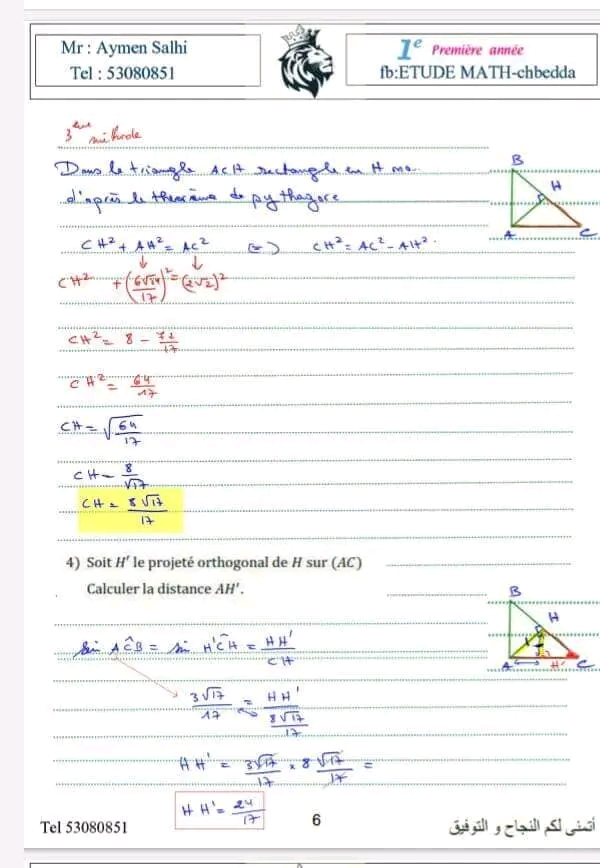
Devoir de contrôle n3 mathématiques pour les élèves de la 1ére année secondaire avec la correction
المشتركون والأعضاء الفاعلة في الموقع لهم أولوية التحميل، لكن يمكنك الانتظار 20 ثانية
اشترك الان
15665_2.jpg
20
Télécharger
15665_3.jpg
20
Télécharger
15665_4.jpg
20
Télécharger
15665_5.jpg
20
Télécharger
15665_6.jpg
20
Télécharger
15665_7.jpg
20
Télécharger
15665_8.jpg
20
Télécharger
15665_9.jpg
20
Télécharger
📄
Télécharger le PDF
0