Chatbox

1ère année secondaire

Chargement 0%
Aucun texte alternatif disponible.

Confirmer?


Photo de Classi.tn
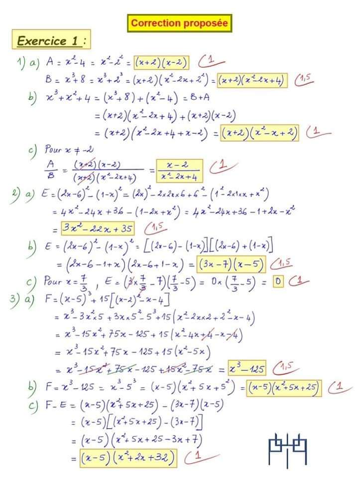
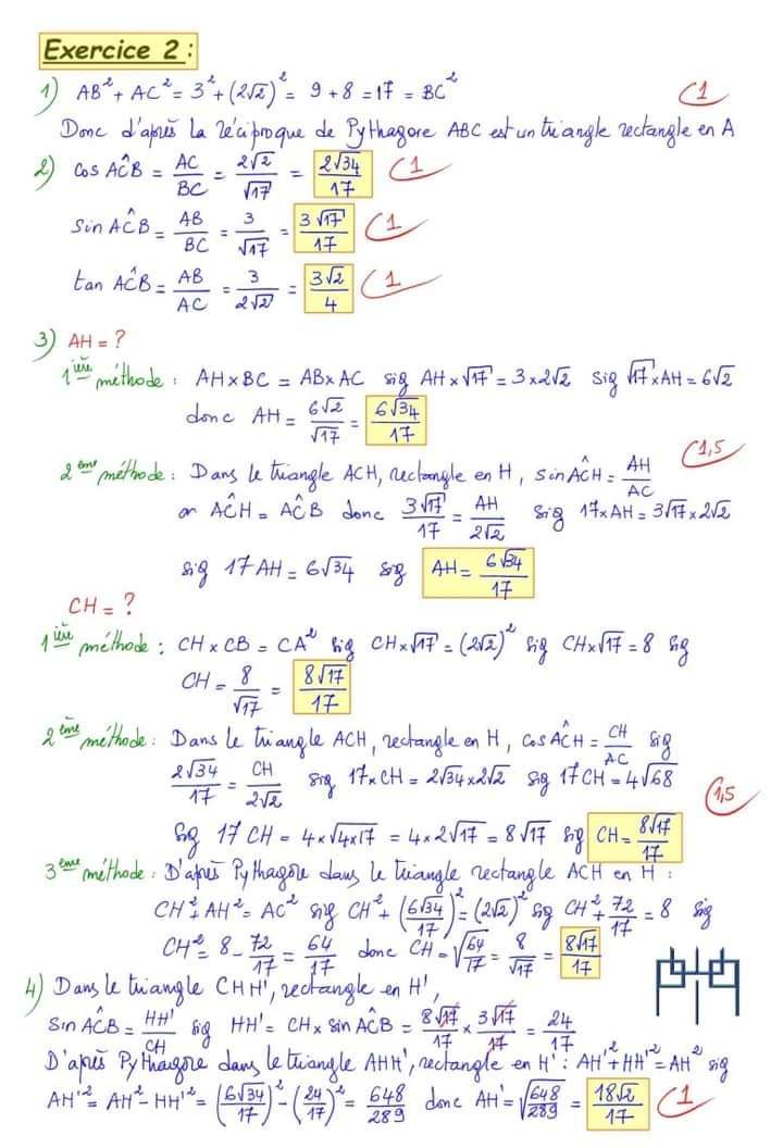
Devoir de contrôle n3 mathématiques 1er année secondaire
Preview
14996_1.jpg
0
Preview
14996_2.jpg
0
Preview
14996_3.jpg
0

Notre chaîne Classi.tn ❤️

Rejoignez notre communauté sur Messenger pour ne rien rater de nos actualités, astuces et contenus exclusifs !

Messenger
Classi.tn - Plateforme éducative tunisienne
Rejoindre la chaîne
Communauté active
Notifications exclusives
Contenus éducatifs