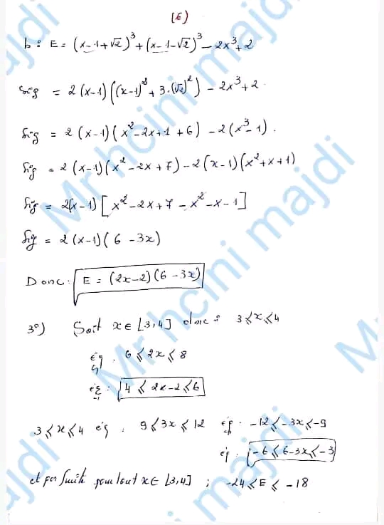
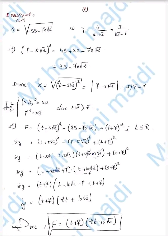
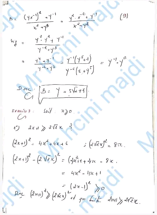
Correction série de révision pour devoir de controle n°3
Niveau: 1ére année secondaire
Bon courage
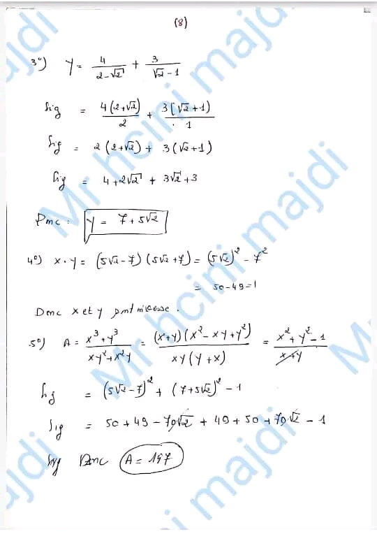
Niveau: 1ére année secondaire
Bon courage










Rejoignez notre communauté sur Messenger pour ne rien rater de nos actualités, astuces et contenus exclusifs !