Chatbox
7ème-السابعة أساسي
Ajouter des photos
Chargement
0%
classi.tn
Connexion
Confirmer?
Supprimer
Annuler
+
Créer une publication
7ème-السابعة أساسي
عربية
Français
English
رياضيات
فيزياء
تربية تكنولوجية
علوم الحياة والأرض
Informatique
ت.إسلامية
ت.مدنية
تاريخ
جغرافيا
تمارين تفاعلية
موسيقى
لغة
Membres
رياضيات ( 569 )
Voir Tout
7ème-السابعة أساسي
Annuler
Enregistrer
Rejoindre classe
Annuler
Enregistrer
Classi.tn
2022-02-19 • 12:37
رياضيات
⋯
Ouvrir dans un nouvel onglet
Copier lien
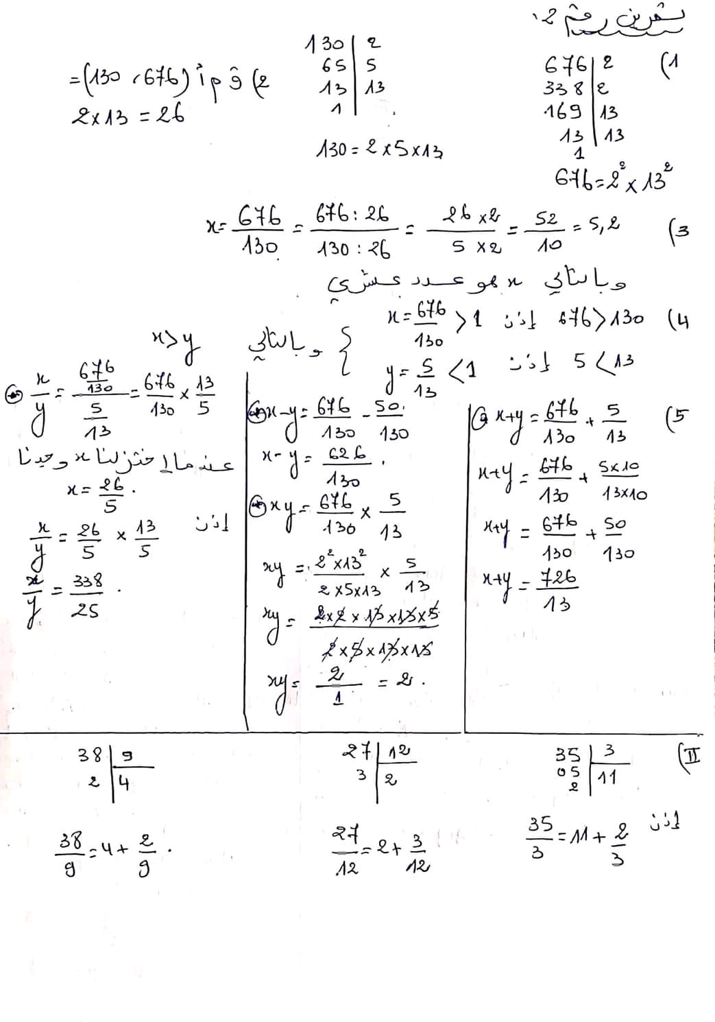
سلسة تمارين مراجعة للفرض رياضيات بالاصلاح
المشتركون والأعضاء الفاعلة في الموقع لهم أولوية التحميل، لكن يمكنك الانتظار 20 ثانية
اشترك الان
4011_1.jpg
20
Télécharger
4011_2.jpg
20
Télécharger
4011_3.jpg
20
Télécharger
4011_4.jpg
20
Télécharger
4011_5.jpg
20
Télécharger
📄
Télécharger le PDF
0