Chatbox
7ème-السابعة أساسي
Ajouter des photos
Chargement
0%
classi.tn
Connexion
Confirmer?
Supprimer
Annuler
+
Créer une publication
7ème-السابعة أساسي
عربية
Français
English
رياضيات
فيزياء
تربية تكنولوجية
علوم الحياة والأرض
Informatique
ت.إسلامية
ت.مدنية
تاريخ
جغرافيا
تمارين تفاعلية
موسيقى
لغة
Membres
رياضيات ( 569 )
Voir Tout
7ème-السابعة أساسي
Annuler
Enregistrer
Rejoindre classe
Annuler
Enregistrer
Mesfar Nejah
2025-11-08 • 11:05
رياضيات
⋯
Ouvrir dans un nouvel onglet
Copier lien
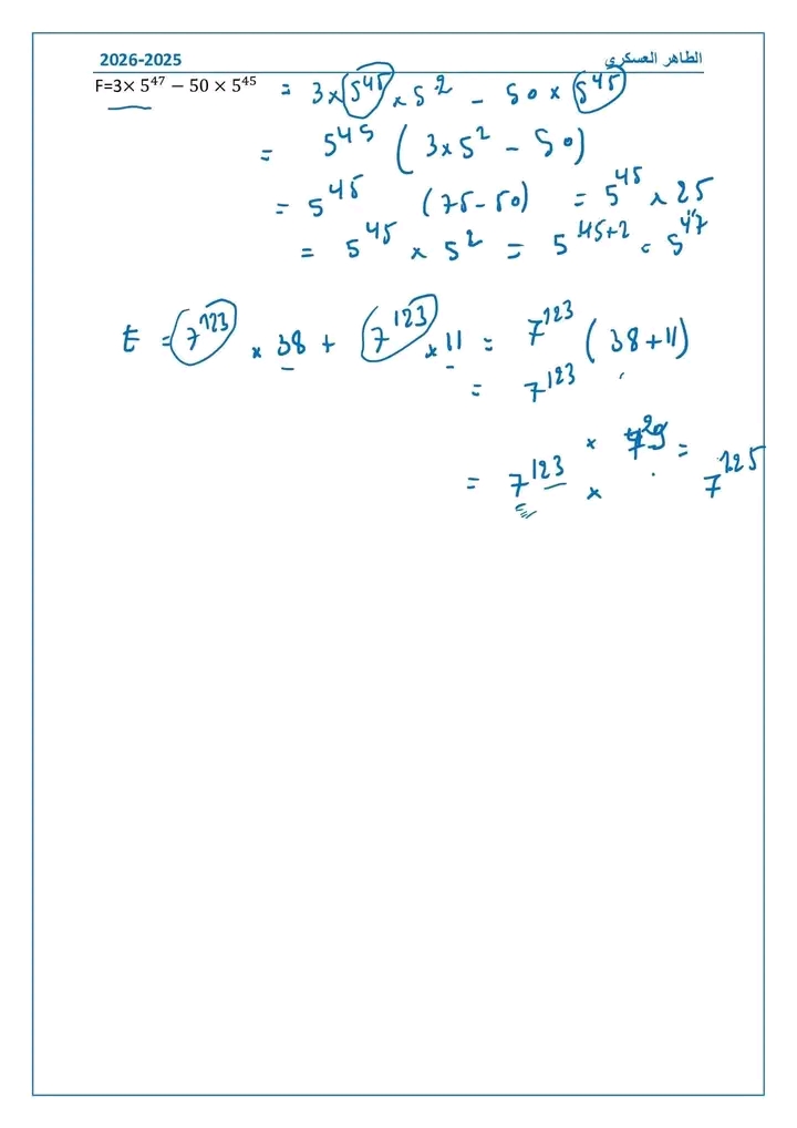
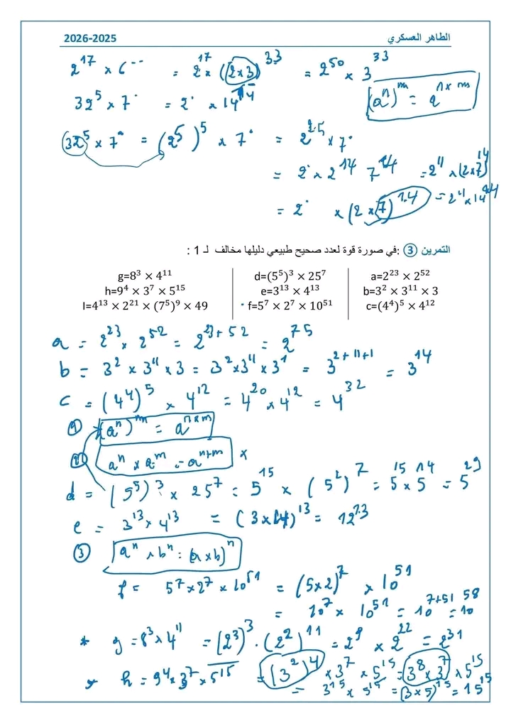
درس القوى السنة السابعة
صاحب العمل الطاهر العسكري
المشتركون والأعضاء الفاعلة في الموقع لهم أولوية التحميل، لكن يمكنك الانتظار 20 ثانية
اشترك الان
1762596105948.jpg
20
Télécharger
1762596107515.jpg
20
Télécharger
1762596109130.jpg
20
Télécharger
1762596110762.jpg
20
Télécharger
1762596112385.jpg
20
Télécharger
1762596113962.jpg
20
Télécharger
1762596115513.jpg
20
Télécharger
📄
Télécharger le PDF
0