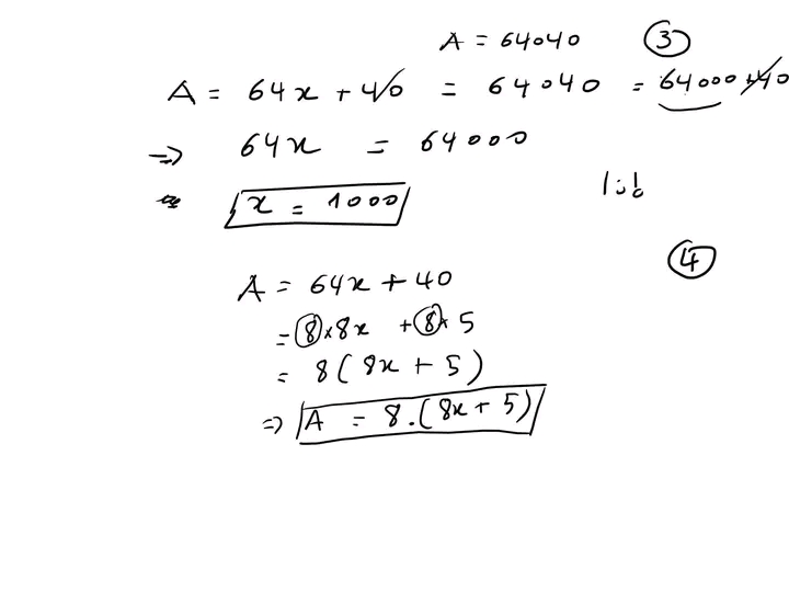
سلسة تمارين رياضيات عدد 1 سنة سابعة
بالاصلاح صاحب العمل المربي الطاهر العسكري ✅
سلسة تمارين رياضيات عدد 1 سنة سابعة
بالاصلاح صاحب العمل المربي الطاهر العسكري ✅












Rejoignez notre communauté sur Messenger pour ne rien rater de nos actualités, astuces et contenus exclusifs !