Chatbox
7ème-السابعة أساسي
Ajouter des photos
Chargement
0%
classi.tn
Connexion
Confirmer?
Supprimer
Annuler
+
Créer une publication
7ème-السابعة أساسي
عربية
Français
English
رياضيات
فيزياء
تربية تكنولوجية
علوم الحياة والأرض
Informatique
ت.إسلامية
ت.مدنية
تاريخ
جغرافيا
تمارين تفاعلية
موسيقى
لغة
Membres
رياضيات ( 569 )
Voir Tout
7ème-السابعة أساسي
Annuler
Enregistrer
Rejoindre classe
Annuler
Enregistrer
Mesfar Nejah
2024-05-02 • 11:18
رياضيات
⋯
Ouvrir dans un nouvel onglet
Copier lien
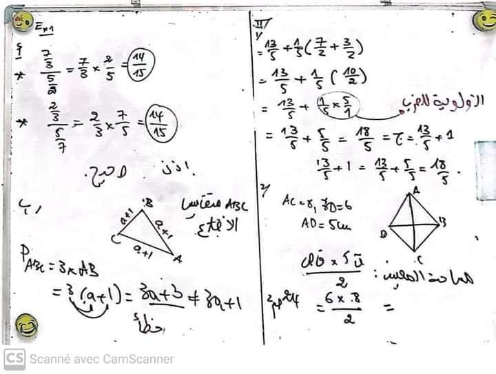
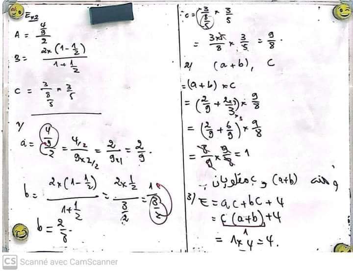
فرض مراقبة عدد 6رياضيات سنة سابعة
المشتركون والأعضاء الفاعلة في الموقع لهم أولوية التحميل، لكن يمكنك الانتظار 20 ثانية
اشترك الان
1023581_2.jpg
20
Télécharger
1023581_4.jpg
20
Télécharger
1023581_5.jpg
20
Télécharger
1023581_6.jpg
20
Télécharger
1023581_7.jpg
20
Télécharger
1023581_8.jpg
20
Télécharger
📄
Télécharger le PDF
0