Chatbox
3 ème Sc informatique
Ajouter des photos
Chargement
0%
classi.tn
Connexion
Confirmer?
Supprimer
Annuler
+
Créer une publication
3 ème Sc informatique
Algorithme et programmation
Tic
Physique
التاريخ
فلسفة
MATH
الجغرافيا
Membres
Physique ( 26 )
3 ème Sc informatique
Annuler
Enregistrer
Rejoindre classe
Annuler
Enregistrer
Classi.tn
2023-10-05 • 10:29
Physique
⋯
Ouvrir dans un nouvel onglet
Copier lien
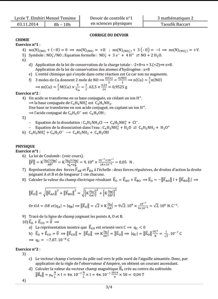
3 DEVOIRS CONTROLE 1 PHYSIQUE POUR 3 ÈME ANNÉE (M/SC/INF). CORRIGÉ
المشتركون والأعضاء الفاعلة في الموقع لهم أولوية التحميل، لكن يمكنك الانتظار 20 ثانية
اشترك الان
29847_1.jpg
20
Télécharger
29847_10.jpg
20
Télécharger
29847_11.jpg
20
Télécharger
29847_12.jpg
20
Télécharger
29847_13.jpg
20
Télécharger
29847_14.jpg
20
Télécharger
29847_15.jpg
20
Télécharger
29847_2.jpg
20
Télécharger
29847_3.jpg
20
Télécharger
29847_4.jpg
20
Télécharger
29847_5.jpg
20
Télécharger
29847_6.jpg
20
Télécharger
29847_7.jpg
20
Télécharger
29847_8.jpg
20
Télécharger
29847_9.jpg
20
Télécharger
📄
Télécharger le PDF
0