Chatbox
Bac Sc expérimentales
Ajouter des photos
Chargement
0%
classi.tn
Connexion
Confirmer?
Supprimer
Annuler
+
Créer une publication
Bac Sc expérimentales
Forum Bac Sciences
Sciences SVT
Math
Physique
Informatique
فلسفة
عربية
Français
English
Allemand
Espagnol
Italien
Membres
Math ( 197 )
Devoir de révision n°1
Voir Tout
Bac Sc expérimentales
Annuler
Enregistrer
Rejoindre classe
Annuler
Enregistrer
Classi.tn
2022-08-24 • 10:06
Math
⋯
Ouvrir dans un nouvel onglet
Copier lien
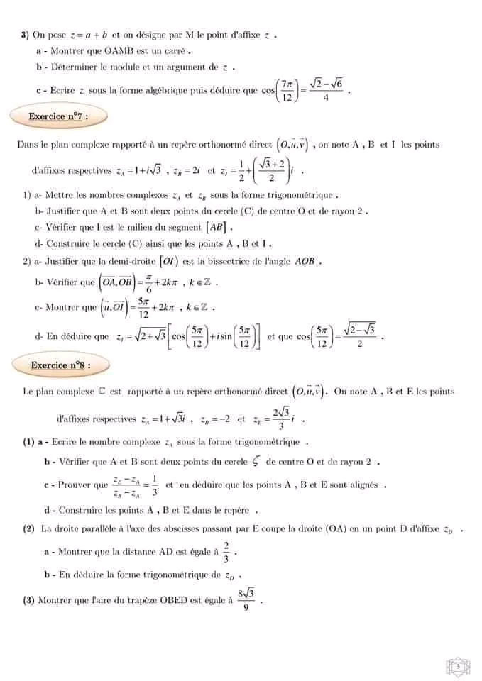
Serie de revision d'été nombres complexes n°1 pour bac toutes sections scientifiques
المشتركون والأعضاء الفاعلة في الموقع لهم أولوية التحميل، لكن يمكنك الانتظار 20 ثانية
اشترك الان
8070_1.jpg
20
Télécharger
8070_10.jpg
20
Télécharger
8070_11.jpg
20
Télécharger
8070_12.jpg
20
Télécharger
8070_13.jpg
20
Télécharger
8070_14.jpg
20
Télécharger
8070_15.jpg
20
Télécharger
8070_16.jpg
20
Télécharger
8070_18.jpg
20
Télécharger
8070_19.jpg
20
Télécharger
8070_2.jpg
20
Télécharger
8070_20.jpg
20
Télécharger
8070_21.jpg
20
Télécharger
8070_22.jpg
20
Télécharger
8070_23.jpg
20
Télécharger
8070_24.jpg
20
Télécharger
8070_25.jpg
20
Télécharger
8070_26.jpg
20
Télécharger
8070_27.jpg
20
Télécharger
8070_28.jpg
20
Télécharger
8070_3.jpg
20
Télécharger
8070_30.jpg
20
Télécharger
8070_31.jpg
20
Télécharger
8070_32.jpg
20
Télécharger
8070_33.jpg
20
Télécharger
8070_34.jpg
20
Télécharger
8070_35.jpg
20
Télécharger
8070_36.jpg
20
Télécharger
8070_37.jpg
20
Télécharger
8070_38.jpg
20
Télécharger
8070_39.jpg
20
Télécharger
8070_4.jpg
20
Télécharger
8070_40.jpg
20
Télécharger
8070_41.jpg
20
Télécharger
8070_42.jpg
20
Télécharger
8070_43.jpg
20
Télécharger
8070_44.jpg
20
Télécharger
8070_45.jpg
20
Télécharger
8070_46.jpg
20
Télécharger
8070_47.jpg
20
Télécharger
8070_48.jpg
20
Télécharger
8070_49.jpg
20
Télécharger
8070_5.jpg
20
Télécharger
8070_6.jpg
20
Télécharger
8070_7.jpg
20
Télécharger
8070_8.jpg
20
Télécharger
8070_9.jpg
20
Télécharger
📄
Télécharger le PDF
0