Chatbox
Bac Sc expérimentales
Ajouter des photos
Chargement
0%
classi.tn
Connexion
Confirmer?
Supprimer
Annuler
+
Créer une publication
Bac Sc expérimentales
Forum Bac Sciences
Sciences SVT
Math
Physique
Informatique
فلسفة
عربية
Français
English
Allemand
Espagnol
Italien
Membres
Math ( 197 )
Devoir de révision n°1
Voir Tout
Bac Sc expérimentales
Annuler
Enregistrer
Rejoindre classe
Annuler
Enregistrer
Classi.tn
2022-07-18 • 12:17
Math
⋯
Ouvrir dans un nouvel onglet
Copier lien
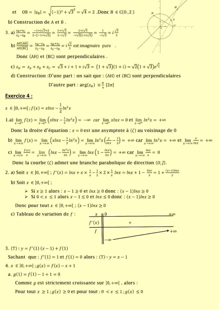
Une correction
Contrôle 2022
4ème Sciences
المشتركون والأعضاء الفاعلة في الموقع لهم أولوية التحميل، لكن يمكنك الانتظار 20 ثانية
اشترك الان
1658142985664.jpg
20
Télécharger
1658142987268.jpg
20
Télécharger
1658142988869.jpg
20
Télécharger
1658142990466.jpg
20
Télécharger
1658142992098.jpg
20
Télécharger
1658142993648.jpg
20
Télécharger
1658142996269.jpg
20
Télécharger
📄
Télécharger le PDF
0