Chatbox
Bac Sc expérimentales
Ajouter des photos
Chargement
0%
classi.tn
Connexion
Confirmer?
Supprimer
Annuler
+
Créer une publication
Bac Sc expérimentales
Forum Bac Sciences
Sciences SVT
Math
Physique
Informatique
فلسفة
عربية
Français
English
Allemand
Espagnol
Italien
Membres
Physique ( 236 )
Voir Tout
Bac Sc expérimentales
Annuler
Enregistrer
Rejoindre classe
Annuler
Enregistrer
Classi.tn
2022-03-20 • 12:50
Physique
⋯
Ouvrir dans un nouvel onglet
Copier lien
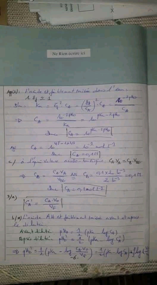
La correction du sujet de l’examen des sciences physiques, section sciences expérimentales , session principale 2021
المشتركون والأعضاء الفاعلة في الموقع لهم أولوية التحميل، لكن يمكنك الانتظار 20 ثانية
اشترك الان
4615_1.jpg
20
Télécharger
4615_10.jpg
20
Télécharger
4615_11.jpg
20
Télécharger
4615_12.jpg
20
Télécharger
4615_13.jpg
20
Télécharger
4615_14.jpg
20
Télécharger
4615_2.jpg
20
Télécharger
4615_3.jpg
20
Télécharger
4615_4.jpg
20
Télécharger
4615_5.jpg
20
Télécharger
4615_6.jpg
20
Télécharger
4615_7.jpg
20
Télécharger
4615_8.jpg
20
Télécharger
4615_9.jpg
20
Télécharger
📄
Télécharger le PDF
0