Chatbox
Bac Sc expérimentales
Ajouter des photos
Chargement
0%
classi.tn
Connexion
Confirmer?
Supprimer
Annuler
+
Créer une publication
Bac Sc expérimentales
Forum Bac Sciences
Sciences SVT
Math
Physique
Informatique
فلسفة
عربية
Français
English
Allemand
Espagnol
Italien
Membres
Math ( 197 )
Devoir de révision n°1
Voir Tout
Bac Sc expérimentales
Annuler
Enregistrer
Rejoindre classe
Annuler
Enregistrer
Classi.tn
2023-07-12 • 11:51
Math
⋯
Ouvrir dans un nouvel onglet
Copier lien
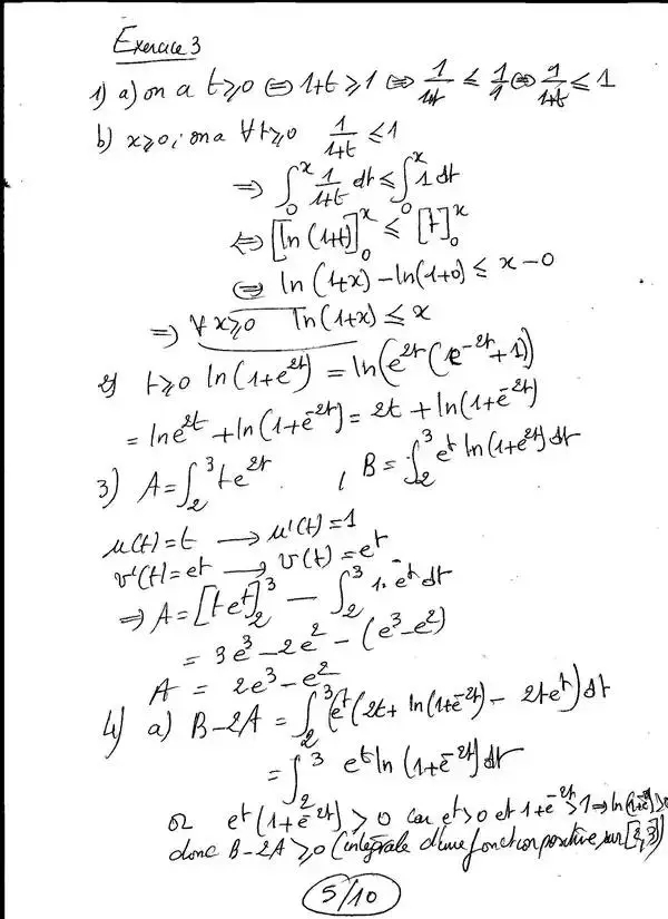
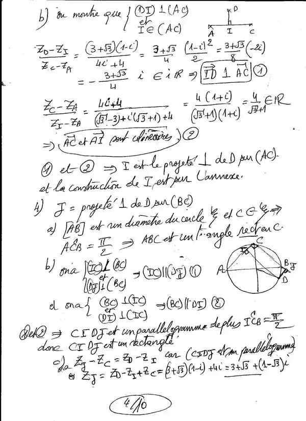
CORRECTION
Contrôle 2023
Bac sciences
المشتركون والأعضاء الفاعلة في الموقع لهم أولوية التحميل، لكن يمكنك الانتظار 20 ثانية
اشترك الان
27499_1.jpg
20
Télécharger
27499_10.jpg
20
Télécharger
27499_11.jpg
20
Télécharger
27499_12.jpg
20
Télécharger
27499_13.jpg
20
Télécharger
27499_14.jpg
20
Télécharger
27499_2.jpg
20
Télécharger
27499_3.jpg
20
Télécharger
27499_4.jpg
20
Télécharger
27499_5.jpg
20
Télécharger
27499_6.jpg
20
Télécharger
27499_7.jpg
20
Télécharger
27499_8.jpg
20
Télécharger
27499_9.jpg
20
Télécharger
📄
Télécharger le PDF
0