Chatbox
Bac Sc expérimentales
Ajouter des photos
Chargement
0%
classi.tn
Connexion
Confirmer?
Supprimer
Annuler
+
Créer une publication
Bac Sc expérimentales
Forum Bac Sciences
Sciences SVT
Math
Physique
Informatique
فلسفة
عربية
Français
English
Allemand
Espagnol
Italien
Membres
Sciences SVT ( 115 )
Voir Tout
Bac Sc expérimentales
Annuler
Enregistrer
Rejoindre classe
Annuler
Enregistrer
Classi.tn
2023-05-04 • 10:19
Sciences SVT
⋯
Ouvrir dans un nouvel onglet
Copier lien
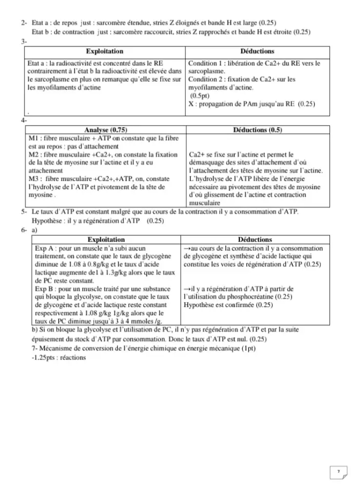
Devoir de contrôle 3 et correction
المشتركون والأعضاء الفاعلة في الموقع لهم أولوية التحميل، لكن يمكنك الانتظار 20 ثانية
اشترك الان
23714_1.jpg
20
Télécharger
23714_2.jpg
20
Télécharger
23714_3.jpg
20
Télécharger
23714_4.jpg
20
Télécharger
23714_5.jpg
20
Télécharger
23714_6.jpg
20
Télécharger
23714_7.jpg
20
Télécharger
23714_8.jpg
20
Télécharger
📄
Télécharger le PDF
0