Chatbox
Bac Sc expérimentales
Ajouter des photos
Chargement
0%
classi.tn
Connexion
Confirmer?
Supprimer
Annuler
+
Créer une publication
Bac Sc expérimentales
Forum Bac Sciences
Sciences SVT
Math
Physique
Informatique
فلسفة
عربية
Français
English
Allemand
Espagnol
Italien
Membres
Math ( 197 )
Devoir de révision n°1
Voir Tout
Bac Sc expérimentales
Annuler
Enregistrer
Rejoindre classe
Annuler
Enregistrer
Classi.tn
2022-11-10 • 12:51
Math
⋯
Ouvrir dans un nouvel onglet
Copier lien
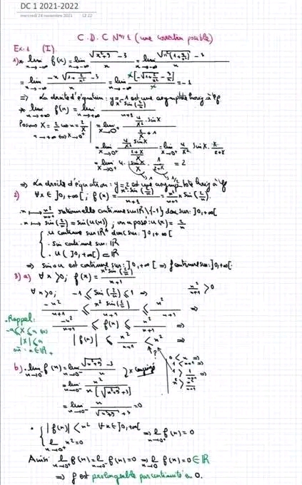
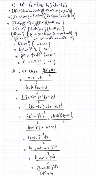
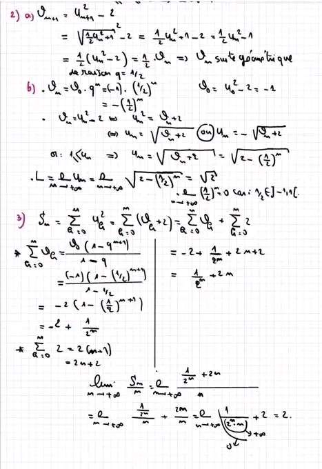
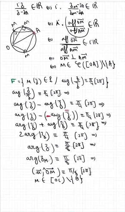
Devoir de contrôle n°1 avec correction Bac Sciences
المشتركون والأعضاء الفاعلة في الموقع لهم أولوية التحميل، لكن يمكنك الانتظار 20 ثانية
اشترك الان
12425_1.jpg
20
Télécharger
12425_11.jpg
20
Télécharger
12425_12.jpg
20
Télécharger
12425_2.jpg
20
Télécharger
12425_3.jpg
20
Télécharger
12425_4.jpg
20
Télécharger
12425_5.jpg
20
Télécharger
12425_6.jpg
20
Télécharger
12425_7.jpg
20
Télécharger
12425_8.jpg
20
Télécharger
12425_9.jpg
20
Télécharger
📄
Télécharger le PDF
0