Chatbox
Bac Sc expérimentales
Ajouter des photos
Chargement
0%
classi.tn
Connexion
Confirmer?
Supprimer
Annuler
+
Créer une publication
Bac Sc expérimentales
Forum Bac Sciences
Sciences SVT
Math
Physique
Informatique
فلسفة
عربية
Français
English
Allemand
Espagnol
Italien
Membres
Math ( 197 )
Devoir de révision n°1
Voir Tout
Bac Sc expérimentales
Annuler
Enregistrer
Rejoindre classe
Annuler
Enregistrer
Mesfar Nejah
2025-08-29 • 19:10
Math
⋯
Ouvrir dans un nouvel onglet
Copier lien
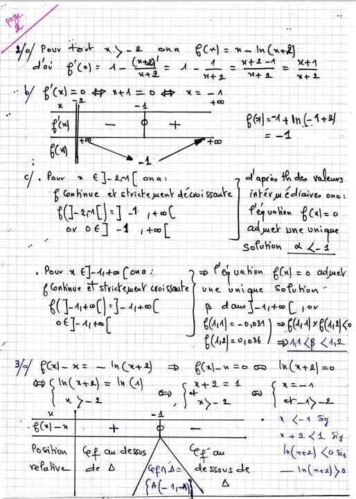
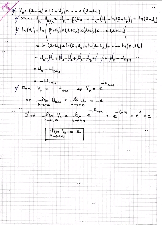
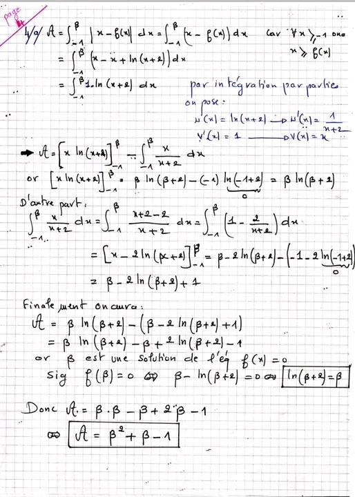
Bac sciences expérimentales Correction de l'exercice 4 ( bac 2023 session de contrôle)
المشتركون والأعضاء الفاعلة في الموقع لهم أولوية التحميل، لكن يمكنك الانتظار 20 ثانية
اشترك الان
1756490953241.jpg
20
Télécharger
1756490954822.jpg
20
Télécharger
1756490957700.jpg
20
Télécharger
1756490960319.jpg
20
Télécharger
1756490962107.jpg
20
Télécharger
1756490963758.jpg
20
Télécharger
1756490965248.jpg
20
Télécharger
📄
Télécharger le PDF
0