Chatbox
Bac Sc expérimentales
Ajouter des photos
Chargement
0%
classi.tn
Connexion
Confirmer?
Supprimer
Annuler
+
Créer une publication
Bac Sc expérimentales
Forum Bac Sciences
Sciences SVT
Math
Physique
Informatique
فلسفة
عربية
Français
English
Allemand
Espagnol
Italien
Membres
Math ( 197 )
Devoir de révision n°1
Voir Tout
Bac Sc expérimentales
Annuler
Enregistrer
Rejoindre classe
Annuler
Enregistrer
Mesfar Nejah
2025-08-29 • 19:08
Math
⋯
Ouvrir dans un nouvel onglet
Copier lien
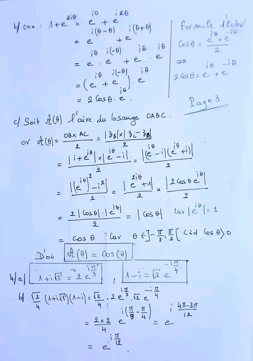
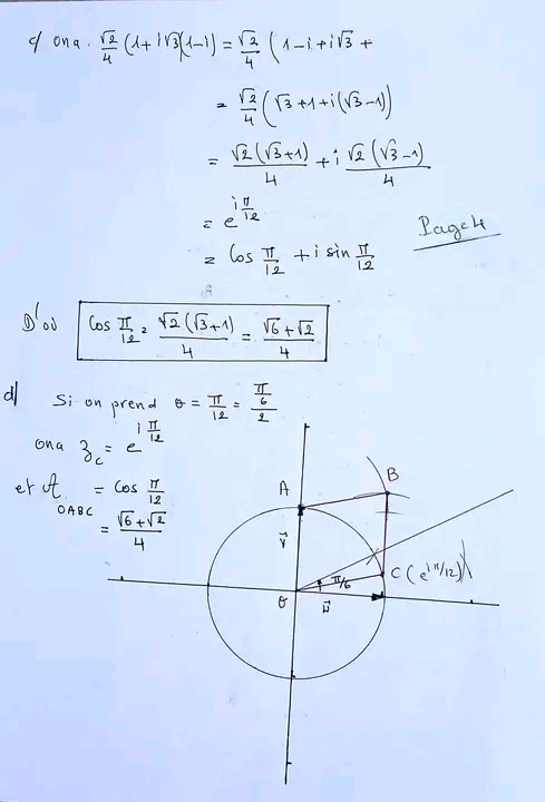
Correction de l’exercice 1 ( complexe) bac sciences expérimentales session principale 2022..
المشتركون والأعضاء الفاعلة في الموقع لهم أولوية التحميل، لكن يمكنك الانتظار 20 ثانية
اشترك الان
1756490858336.jpg
20
Télécharger
1756490860015.jpg
20
Télécharger
1756490861645.jpg
20
Télécharger
1756490863205.jpg
20
Télécharger
1756490864835.jpg
20
Télécharger
1756490866544.jpg
20
Télécharger
📄
Télécharger le PDF
0