Chatbox
Bac Sc expérimentales
Ajouter des photos
Chargement
0%
classi.tn
Connexion
Confirmer?
Supprimer
Annuler
+
Créer une publication
Bac Sc expérimentales
Forum Bac Sciences
Sciences SVT
Math
Physique
Informatique
فلسفة
عربية
Français
English
Allemand
Espagnol
Italien
Membres
Math ( 197 )
Devoir de révision n°1
Voir Tout
Bac Sc expérimentales
Annuler
Enregistrer
Rejoindre classe
Annuler
Enregistrer
Classi.tn
2022-10-04 • 09:27
Math
⋯
Ouvrir dans un nouvel onglet
Copier lien
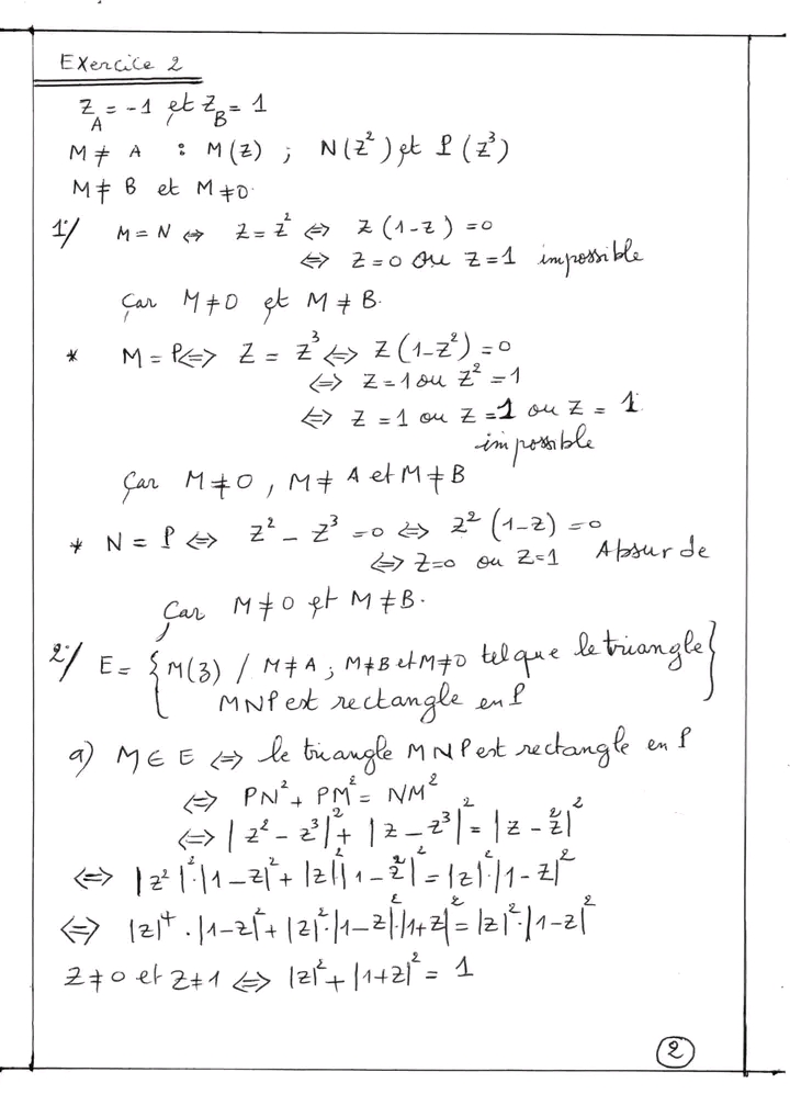
2series math avec corrige nombre complexes(pilote sfax)
4emesc
المشتركون والأعضاء الفاعلة في الموقع لهم أولوية التحميل، لكن يمكنك الانتظار 20 ثانية
اشترك الان
10310_1.jpg
20
Télécharger
10310_10.jpg
20
Télécharger
10310_2.jpg
20
Télécharger
10310_3.jpg
20
Télécharger
10310_4.jpg
20
Télécharger
10310_5.jpg
20
Télécharger
10310_6.jpg
20
Télécharger
10310_7.jpg
20
Télécharger
10310_8.jpg
20
Télécharger
10310_9.jpg
20
Télécharger
📄
Télécharger le PDF
0