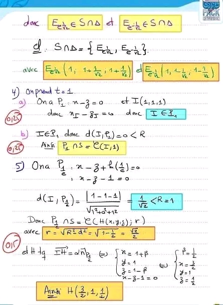
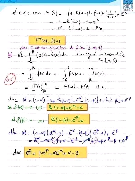
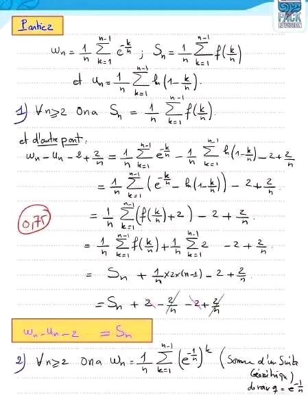
devoir de Synthèse N°3 (Bac blanc 2024) 4ème Sc.Exp
avec excellente correction détaillée
lycées: lycée IBN Rochd - lycée M.Bourguiba 10/05/2024
Profs: Mr Jebali- Mme CHikhaoui
avec excellente correction détaillée
lycées: lycée IBN Rochd - lycée M.Bourguiba 10/05/2024
Profs: Mr Jebali- Mme CHikhaoui


















