Chatbox

Bac Sc expérimentales

Chargement 0%
Aucun texte alternatif disponible.

Confirmer?


Photo de Classi.tn
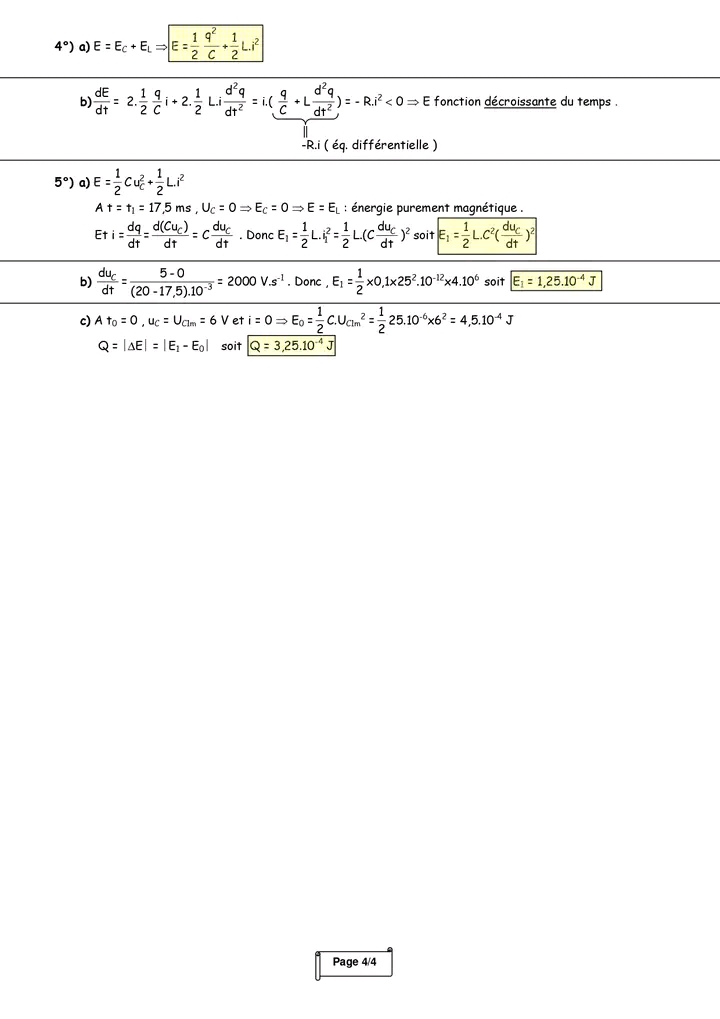
# **Devoir de synthèse N°1 Physique+ corrigé**
Preview
1008754_1.jpg
0
Preview
1008754_2.jpg
0
Preview
1008754_3.jpg
0
Preview
1008754_4.jpg
0
Preview
1008754_5.jpg
0
Preview
1008754_6.jpg
0
Preview
1008754_7.jpg
0
Preview
1008754_8.jpg
0

Notre chaîne Classi.tn ❤️

Rejoignez notre communauté sur Messenger pour ne rien rater de nos actualités, astuces et contenus exclusifs !

Messenger
Classi.tn - Plateforme éducative tunisienne
Rejoindre la chaîne
Communauté active
Notifications exclusives
Contenus éducatifs