Chatbox
Bac Sc expérimentales
Ajouter des photos
Chargement
0%
classi.tn
Connexion
Confirmer?
Supprimer
Annuler
+
Créer une publication
Bac Sc expérimentales
Forum Bac Sciences
Sciences SVT
Math
Physique
Informatique
فلسفة
عربية
Français
English
Allemand
Espagnol
Italien
Membres
Math ( 197 )
Devoir de révision n°1
Voir Tout
Bac Sc expérimentales
Annuler
Enregistrer
Rejoindre classe
Annuler
Enregistrer
Classi.tn
2023-10-23 • 10:22
Math
⋯
Ouvrir dans un nouvel onglet
Copier lien
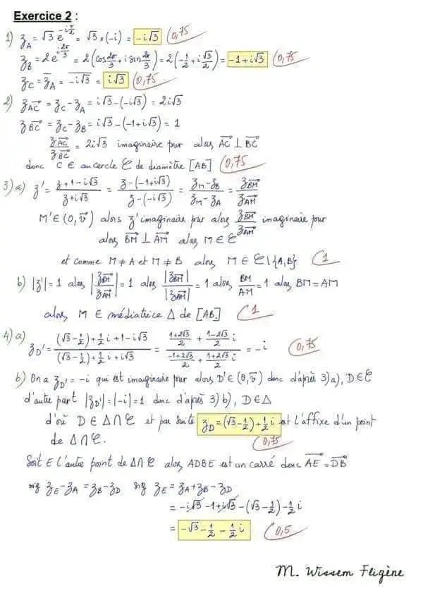
✅️Bac Sciences Expérimentales 🔥💪🇵🇸🇹🇳
🎯DC N°1 avec correction 😉
✍️Wissem Fligène
المشتركون والأعضاء الفاعلة في الموقع لهم أولوية التحميل، لكن يمكنك الانتظار 20 ثانية
اشترك الان
1001608_1.jpg
20
Télécharger
1001608_2.jpg
20
Télécharger
1001608_3.jpg
20
Télécharger
1001608_4.jpg
20
Télécharger
1001608_5.jpg
20
Télécharger
1001608_6.jpg
20
Télécharger
📄
Télécharger le PDF
0