Chatbox

2 ème Sciences

Chargement 0%
Aucun texte alternatif disponible.

Confirmer?


Photo de Classi.tn
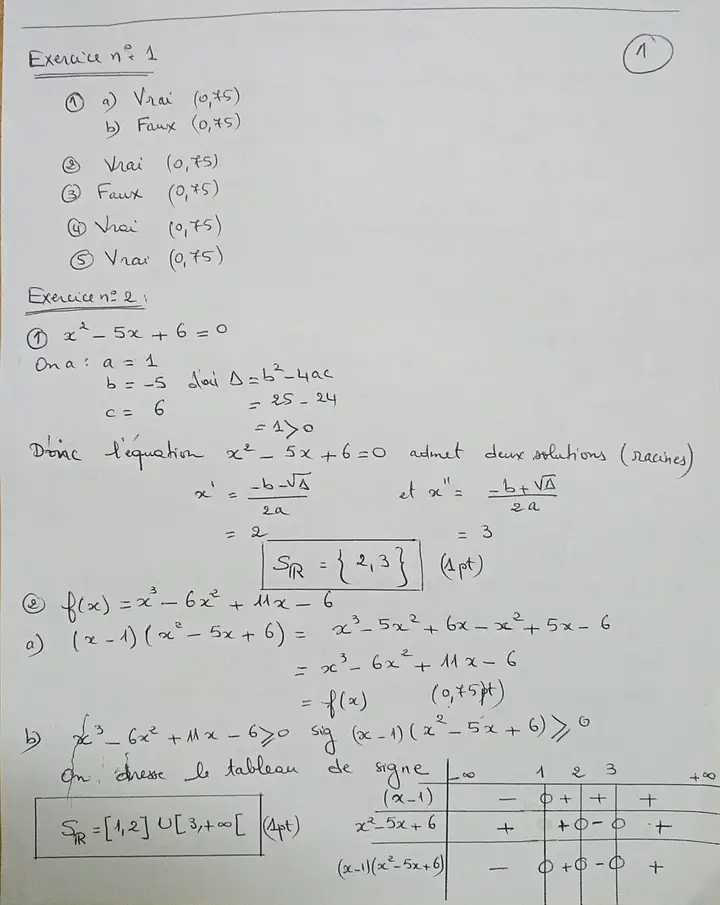
Maths pour 2ème sc et info .. exercices corrigés sur le chapitre: équations et inéquations de 2eme degré
Preview
30472_1.jpg
0
Preview
30472_2.jpg
0
Preview
30472_4.jpg
0
Preview
30472_5.jpg
0

Notre chaîne Classi.tn ❤️

Rejoignez notre communauté sur Messenger pour ne rien rater de nos actualités, astuces et contenus exclusifs !

Messenger
Classi.tn - Plateforme éducative tunisienne
Rejoindre la chaîne
Communauté active
Notifications exclusives
Contenus éducatifs