Chatbox
2 ème Sciences
Ajouter des photos
Chargement
0%
classi.tn
Connexion
Confirmer?
Supprimer
Annuler
+
Créer une publication
2 ème Sciences
Forum 2ème sciences
Math
Physique
Sciences SVT
Technologie
Informatique
English
عربية
ت.إسلامية
تربية مدنية
Français
التاريخ
الجغرافيا
Membres
Math ( 269 )
Voir Tout
2 ème Sciences
Annuler
Enregistrer
Rejoindre classe
Annuler
Enregistrer
Classi.tn
2023-06-03 • 20:56
Math
⋯
Ouvrir dans un nouvel onglet
Copier lien
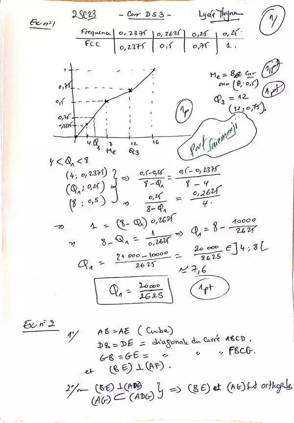
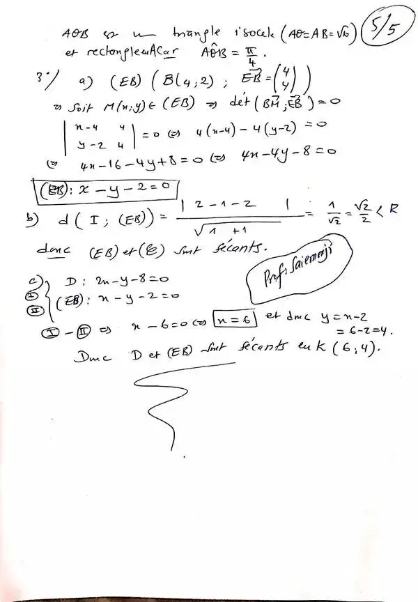
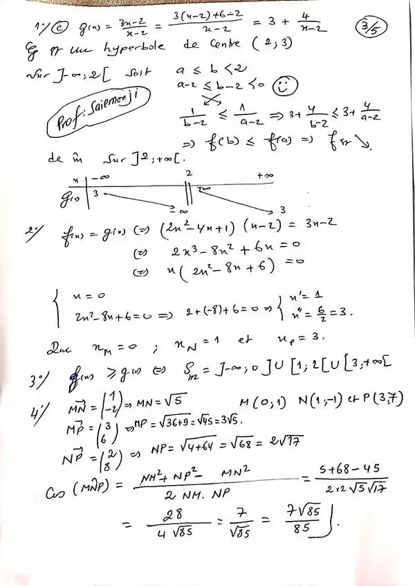
اصلاح فرض تأليفي عدد 3 رياضيات ثانية ثانوي
المشتركون والأعضاء الفاعلة في الموقع لهم أولوية التحميل، لكن يمكنك الانتظار 20 ثانية
اشترك الان
26504_1.jpg
20
Télécharger
26504_2.jpg
20
Télécharger
26504_3.jpg
20
Télécharger
26504_4.jpg
20
Télécharger
26504_5.jpg
20
Télécharger
26504_6.jpg
20
Télécharger
26504_7.jpg
20
Télécharger
📄
Télécharger le PDF
0