Chatbox
2 ème Sciences
Ajouter des photos
Chargement
0%
classi.tn
Connexion
Confirmer?
Supprimer
Annuler
+
Créer une publication
2 ème Sciences
Forum 2ème sciences
Math
Physique
Sciences SVT
Technologie
Informatique
English
عربية
ت.إسلامية
تربية مدنية
Français
التاريخ
الجغرافيا
Membres
Physique ( 311 )
Devoir controle 3 physique
Voir Tout
2 ème Sciences
Annuler
Enregistrer
Rejoindre classe
Annuler
Enregistrer
Classi.tn
2023-05-08 • 07:19
Physique
⋯
Ouvrir dans un nouvel onglet
Copier lien
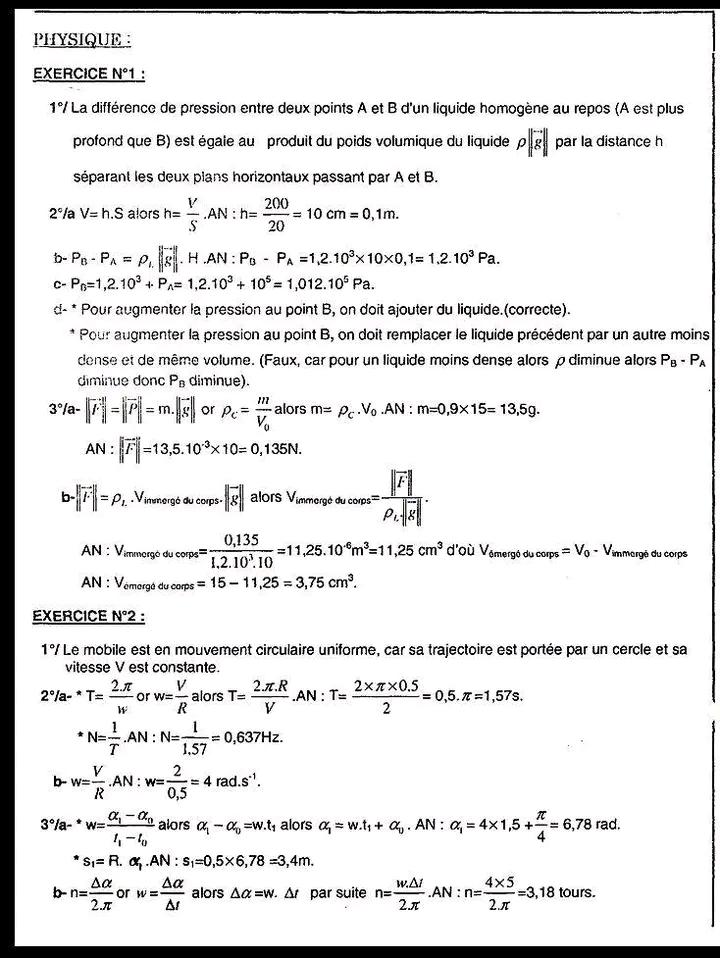
Devoir physique pour 2 ème année+correction
المشتركون والأعضاء الفاعلة في الموقع لهم أولوية التحميل، لكن يمكنك الانتظار 20 ثانية
اشترك الان
24070_1.jpg
20
Télécharger
24070_2.jpg
20
Télécharger
24070_3.jpg
20
Télécharger
24070_4.jpg
20
Télécharger
📄
Télécharger le PDF
0