Chatbox
2 ème Sciences
Ajouter des photos
Chargement
0%
classi.tn
Connexion
Confirmer?
Supprimer
Annuler
+
Créer une publication
2 ème Sciences
Forum 2ème sciences
Math
Physique
Sciences SVT
Technologie
Informatique
English
عربية
ت.إسلامية
تربية مدنية
Français
التاريخ
الجغرافيا
Membres
Physique ( 311 )
Devoir controle 3 physique
Voir Tout
2 ème Sciences
Annuler
Enregistrer
Rejoindre classe
Annuler
Enregistrer
Classi.tn
2023-03-22 • 08:41
Physique
⋯
Ouvrir dans un nouvel onglet
Copier lien
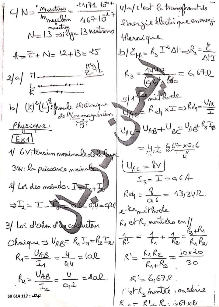
Physique 2eme annee
Dvr + correction
A ne pas rater 😊
المشتركون والأعضاء الفاعلة في الموقع لهم أولوية التحميل، لكن يمكنك الانتظار 20 ثانية
اشترك الان
21628_1.jpg
20
Télécharger
21628_2.jpg
20
Télécharger
21628_3.jpg
20
Télécharger
21628_4.jpg
20
Télécharger
21628_5.jpg
20
Télécharger
📄
Télécharger le PDF
0