Chatbox
2 ème Sciences
Ajouter des photos
Chargement
0%
classi.tn
Connexion
Confirmer?
Supprimer
Annuler
+
Créer une publication
2 ème Sciences
Forum 2ème sciences
Math
Physique
Sciences SVT
Technologie
Informatique
English
عربية
ت.إسلامية
تربية مدنية
Français
التاريخ
الجغرافيا
Membres
Physique ( 311 )
Devoir controle 3 physique
Voir Tout
2 ème Sciences
Annuler
Enregistrer
Rejoindre classe
Annuler
Enregistrer
Classi.tn
2023-01-10 • 15:30
Physique
⋯
Ouvrir dans un nouvel onglet
Copier lien
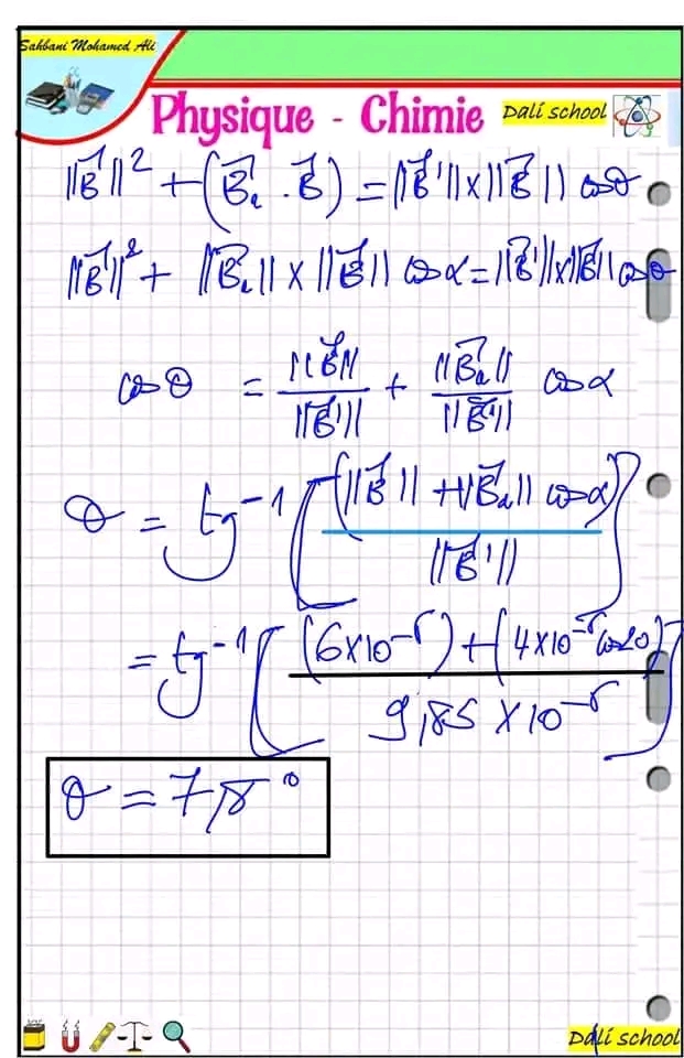
Exercices avec correction " partie magnétique " bon courage et bonne révision 😍🥰🥰😍😍🥰🥰😍😍🥰🥰😍😍🥰🥰😍😍🥰🥰😍😍🥰🥰😍
المشتركون والأعضاء الفاعلة في الموقع لهم أولوية التحميل، لكن يمكنك الانتظار 20 ثانية
اشترك الان
15776_1.jpg
20
Télécharger
15776_10.jpg
20
Télécharger
15776_11.jpg
20
Télécharger
15776_12.jpg
20
Télécharger
15776_13.jpg
20
Télécharger
15776_14.jpg
20
Télécharger
15776_15.jpg
20
Télécharger
15776_2.jpg
20
Télécharger
15776_4.jpg
20
Télécharger
15776_5.jpg
20
Télécharger
15776_6.jpg
20
Télécharger
15776_7.jpg
20
Télécharger
15776_8.jpg
20
Télécharger
15776_9.jpg
20
Télécharger
📄
Télécharger le PDF
0