Chatbox
2 ème Sciences
Ajouter des photos
Chargement
0%
classi.tn
Connexion
Confirmer?
Supprimer
Annuler
+
Créer une publication
2 ème Sciences
Forum 2ème sciences
Math
Physique
Sciences SVT
Technologie
Informatique
English
عربية
ت.إسلامية
تربية مدنية
Français
التاريخ
الجغرافيا
Membres
Physique ( 311 )
Devoir controle 3 physique
Voir Tout
2 ème Sciences
Annuler
Enregistrer
Rejoindre classe
Annuler
Enregistrer
Classi.tn
2023-01-10 • 15:08
Physique
⋯
Ouvrir dans un nouvel onglet
Copier lien
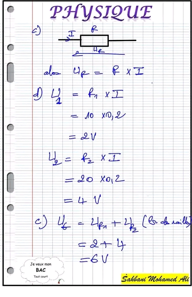
Série de révision physique , niveau 2 ème année bon courage et bonne révision 🥰😍🥰🥰🥰😍🥰🥰🥰
المشتركون والأعضاء الفاعلة في الموقع لهم أولوية التحميل، لكن يمكنك الانتظار 20 ثانية
اشترك الان
15772_1.jpg
20
Télécharger
15772_10.jpg
20
Télécharger
15772_11.jpg
20
Télécharger
15772_12.jpg
20
Télécharger
15772_13.jpg
20
Télécharger
15772_14.jpg
20
Télécharger
15772_15.jpg
20
Télécharger
15772_2.jpg
20
Télécharger
15772_3.jpg
20
Télécharger
15772_4.jpg
20
Télécharger
15772_5.jpg
20
Télécharger
15772_6.jpg
20
Télécharger
15772_7.jpg
20
Télécharger
15772_8.jpg
20
Télécharger
📄
Télécharger le PDF
0