Chatbox
2 ème Sciences
Ajouter des photos
Chargement
0%
classi.tn
Connexion
Confirmer?
Supprimer
Annuler
+
Créer une publication
2 ème Sciences
Forum 2ème sciences
Math
Physique
Sciences SVT
Technologie
Informatique
English
عربية
ت.إسلامية
تربية مدنية
Français
التاريخ
الجغرافيا
Membres
Math ( 269 )
Voir Tout
2 ème Sciences
Annuler
Enregistrer
Rejoindre classe
Annuler
Enregistrer
Mesfar Nejah
2024-03-05 • 21:40
Math
⋯
Ouvrir dans un nouvel onglet
Copier lien
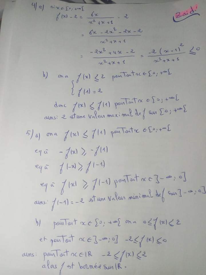
Devoir de synthèse n2 2ème sciences avec une proposition de correction
المشتركون والأعضاء الفاعلة في الموقع لهم أولوية التحميل، لكن يمكنك الانتظار 20 ثانية
اشترك الان
1015430_1.jpg
20
Télécharger
1015430_2.jpg
20
Télécharger
1015430_3.jpg
20
Télécharger
1015430_4.jpg
20
Télécharger
1015430_5.jpg
20
Télécharger
1015430_6.jpg
20
Télécharger
1015430_7.jpg
20
Télécharger
1015430_8.jpg
20
Télécharger
📄
Télécharger le PDF
0