Chatbox
2 ème Sciences
Ajouter des photos
Chargement
0%
classi.tn
Connexion
Confirmer?
Supprimer
Annuler
+
Créer une publication
2 ème Sciences
Forum 2ème sciences
Math
Physique
Sciences SVT
Technologie
Informatique
English
عربية
ت.إسلامية
تربية مدنية
Français
التاريخ
الجغرافيا
Membres
Math ( 269 )
Voir Tout
2 ème Sciences
Annuler
Enregistrer
Rejoindre classe
Annuler
Enregistrer
Mesfar Nejah
2024-02-21 • 21:03
Math
⋯
Ouvrir dans un nouvel onglet
Copier lien
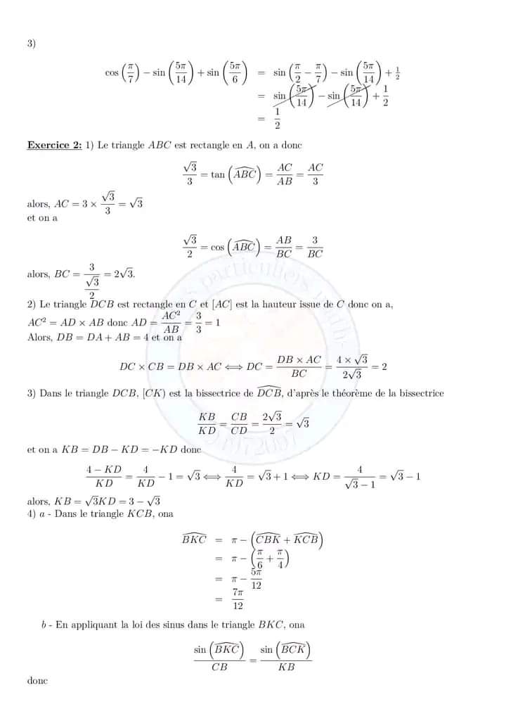
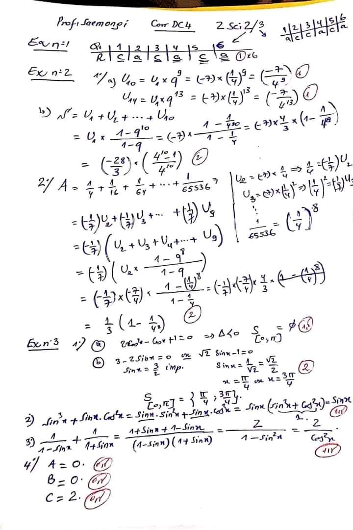
devoir de contrôle n•4 math +correction
المشتركون والأعضاء الفاعلة في الموقع لهم أولوية التحميل، لكن يمكنك الانتظار 20 ثانية
اشترك الان
1012799_1.jpg
20
Télécharger
1012799_10.jpg
20
Télécharger
1012799_11.jpg
20
Télécharger
1012799_2.jpg
20
Télécharger
1012799_3.jpg
20
Télécharger
1012799_4.jpg
20
Télécharger
1012799_5.jpg
20
Télécharger
1012799_6.jpg
20
Télécharger
1012799_7.jpg
20
Télécharger
1012799_8.jpg
20
Télécharger
1012799_9.jpg
20
Télécharger
📄
Télécharger le PDF
0