Chatbox
Bac Econmie et Gestion
Ajouter des photos
Chargement
0%
classi.tn
Connexion
Confirmer?
Supprimer
Annuler
+
Créer une publication
Bac Econmie et Gestion
Forum Bac ECO
Gestion
Economie
Math
Informatique
عربية
Français
English
Espagnol
Italien
فلسفة
التاريخ
الجغرافيا
Membres
Math ( 143 )
Voir Tout
Bac Econmie et Gestion
Annuler
Enregistrer
Rejoindre classe
Annuler
Enregistrer
Classi.tn
2023-03-29 • 13:25
Math
⋯
Ouvrir dans un nouvel onglet
Copier lien
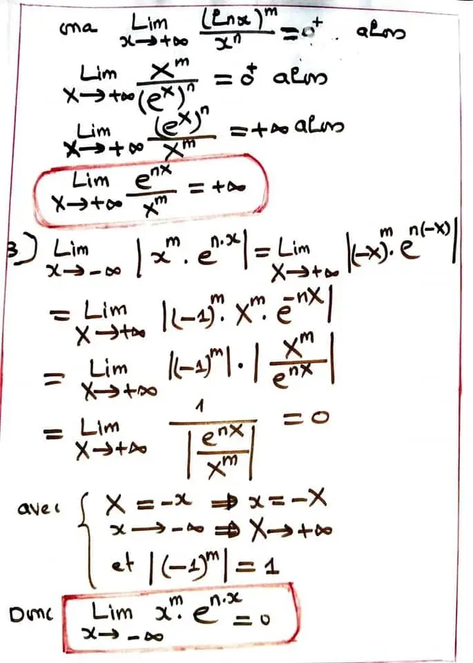
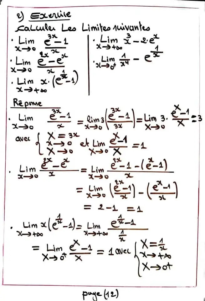
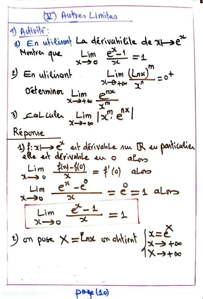
Cours Exponentielle 😍😍
Des exercices avec corrections ✔️✔️
المشتركون والأعضاء الفاعلة في الموقع لهم أولوية التحميل، لكن يمكنك الانتظار 20 ثانية
اشترك الان
21858_1.jpg
20
Télécharger
21858_10.jpg
20
Télécharger
21858_11.jpg
20
Télécharger
21858_12.jpg
20
Télécharger
21858_13.jpg
20
Télécharger
21858_14.jpg
20
Télécharger
21858_15.jpg
20
Télécharger
21858_2.jpg
20
Télécharger
21858_3.jpg
20
Télécharger
21858_4.jpg
20
Télécharger
21858_5.jpg
20
Télécharger
21858_6.jpg
20
Télécharger
21858_7.jpg
20
Télécharger
21858_8.jpg
20
Télécharger
21858_9.jpg
20
Télécharger
📄
Télécharger le PDF
0