Chatbox

2 ème Sciences

Chargement 0%
Aucun texte alternatif disponible.

Confirmer?

Rechercher dans cette classe


📹 VIDÉOS MATH ET INFO EN LIGNE
Publicité vidéo
Regarder des séances math en ligne enregistrées
Des cours en vidéo pour améliorer votre apprentissage

Math 269

PROBLÈMES DU PREMIER DEGRÉ ET PROBLÈMES DU SECOND 8

Photo de Mesfar Nejah
💯🔥💖
pour le 2 ème année👊
Corrige Manuel Scolaire Mathématiques
 Télécharger 
Corrige_Manuel_Scolaire_Mathematiques_2eme_sc_t1.p...
0 Commentaires
  

Commentaires

Aucun commentaire pour le moment.

Photo de Mesfar Nejah
Série 1 2ème année sciences avec correction
+1
"
0 Commentaires
  

Commentaires

Aucun commentaire pour le moment.

Photo de Arfaoui lazhar

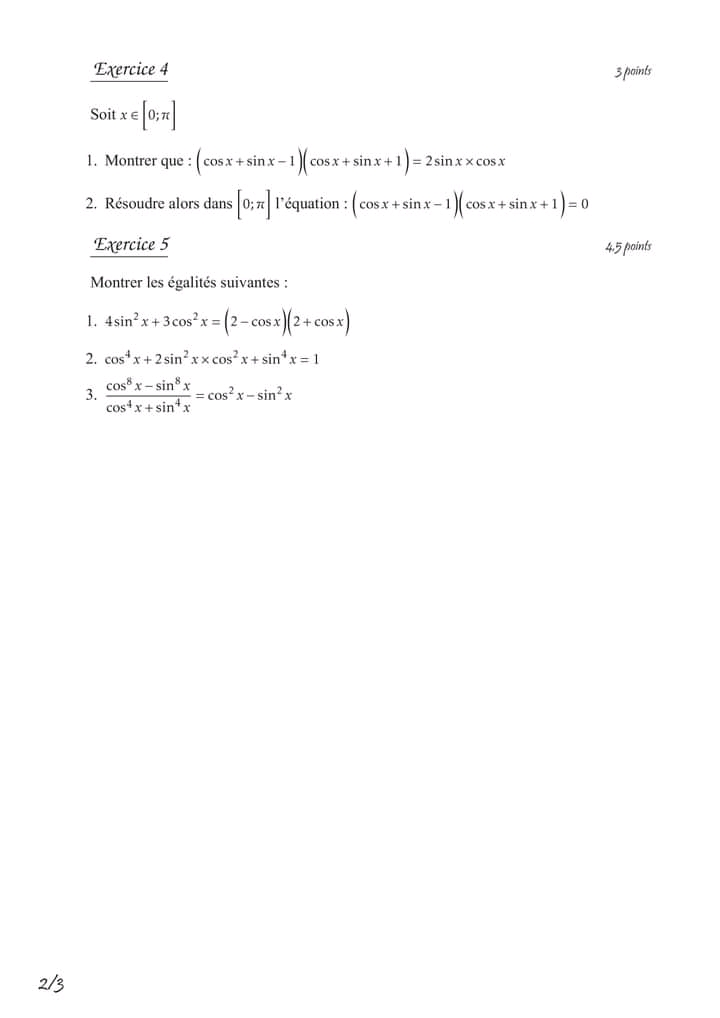
Exercice Math
 Télécharger 
2024-05-11 17-30_page_2.pdf
1
0 Commentaires
  

Commentaires

Aucun commentaire pour le moment.

Photo de المؤدب

Serie Math
2sc
 Télécharger 
série-n°24 fon referance et geo analy.pdf...
1
0 Commentaires
  

Commentaires

Aucun commentaire pour le moment.

Photo de المؤدب

Exercices Math
 Télécharger 
cercle.pdf
1
0 Commentaires
  

Commentaires

Aucun commentaire pour le moment.

Photo de Ahlemchouaieb

Serie Math
0 Commentaires
  

Commentaires

Aucun commentaire pour le moment.

Photo de Mohamed
Equation du second degré 
 Télécharger 
eq second degré.docx
1
0 Commentaires
  

Commentaires

Aucun commentaire pour le moment.

Photo de Classi.tn
Calcul vectoriel : dernière question : changement de repère
2ème Sc
+1
"
0 Commentaires
  

Commentaires

Aucun commentaire pour le moment.

Photo de Classi.tn
تمرينات ممتازين هندسة في الفضاء لتلاميذ الثانية ثانوي نموذجي . من انجاز دعاء بيلوت سوسة شكرا على المجهود .
+6
"
1
0 Commentaires
  

Commentaires

Aucun commentaire pour le moment.

Photo de Classi.tn
تمارين مرفوقة بالاصلاح لتلاميذ ثانية ثانوي .
+3
"
0 Commentaires
  

Commentaires

Aucun commentaire pour le moment.

Photo de Classi.tn
Physique
exercices corriges
+3
"
0 Commentaires
  

Commentaires

Aucun commentaire pour le moment.

Photo de Classi.tn
**** #2eme_sciences****
تلاخيص_للدرس مع مجموعة_تمارين بالحلول
+9
"
0 Commentaires
  

Commentaires

Aucun commentaire pour le moment.

Photo de Classi.tn
اصلاح تمارين لتلاميذ ثانية ثانوي
+3
"
0 Commentaires
  

Commentaires

Aucun commentaire pour le moment.

Photo de Classi.tn
مجموعة تمارين رياضيات مع الاصلاح
ثانية ثانوي
+9
"
0 Commentaires
  

Commentaires

Aucun commentaire pour le moment.

Photo de Classi.tn
MATHS
------ 2ème sciences ------
Problème
El Glace
0 Commentaires
  

Commentaires

Aucun commentaire pour le moment.

Photo de Classi.tn
Série d'exercices 3 et 4 2ème année Sc
0 Commentaires
  

Commentaires

Aucun commentaire pour le moment.

Photo de Classi.tn
Serie exercices math
0 Commentaires
  

Commentaires

Aucun commentaire pour le moment.

Photo de Classi.tn
les polynômes 2 sciences
 Télécharger 
polynomes.pdf
0 Commentaires
  

Commentaires

Aucun commentaire pour le moment.

Photo de Classi.tn
géométrie analytique 2 sciences
 Télécharger 
géométrie analytique.pdf
0 Commentaires
  

Commentaires

Aucun commentaire pour le moment.

classi.tn
🤖 classi.tn
مرحبًا! ماذا تريد أن تفعل اليوم؟