Chatbox
3 ème Mathématiques
Ajouter des photos
Chargement
0%
classi.tn
Connexion
Confirmer?
Supprimer
Annuler
+
Créer une publication
3 ème Mathématiques
Forum 3ème Math
Math
Physique
Sciences SVT
Informatique
Français
Espagnol
Italien
English
Allemand
عربية
التاريخ
الجغرافيا
التفكير الإسلامي
فلسفة
Membres
Physique ( 37 )
Devoir de Synthèse 1 - 3 ème Math
3 ème Mathématiques
Annuler
Enregistrer
Rejoindre classe
Annuler
Enregistrer
Classi.tn
2022-09-13 • 15:44
Physique
⋯
Ouvrir dans un nouvel onglet
Copier lien
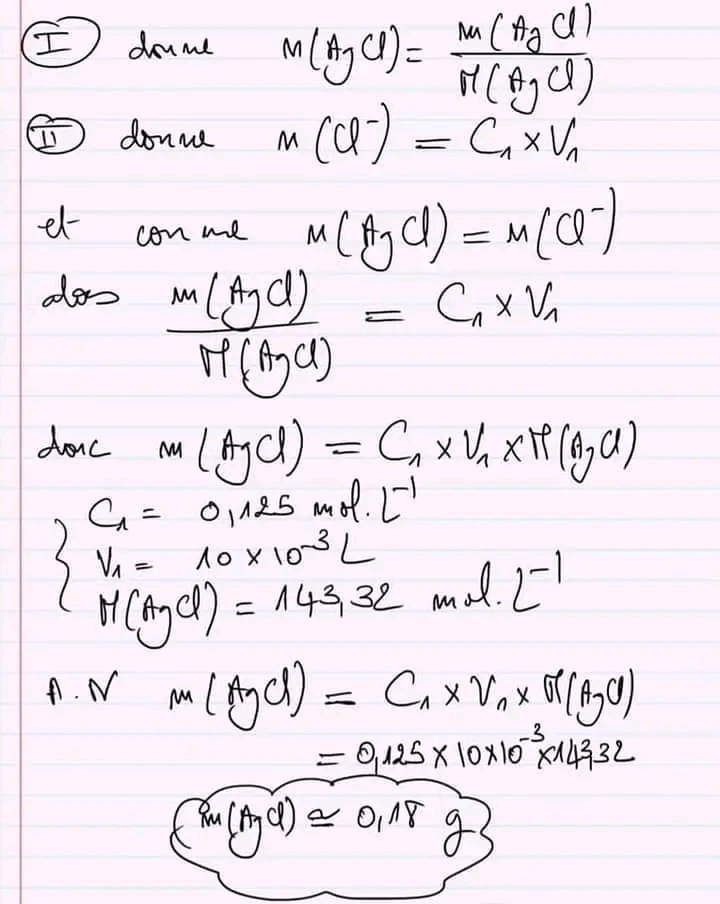
Exercice corrigé acide base 👏👍
3eme année 💖
Bonne révision 👌 💪 ✍️
المشتركون والأعضاء الفاعلة في الموقع لهم أولوية التحميل، لكن يمكنك الانتظار 20 ثانية
اشترك الان
8766_1.jpg
20
Télécharger
8766_10.jpg
20
Télécharger
8766_11.jpg
20
Télécharger
8766_12.jpg
20
Télécharger
8766_13.jpg
20
Télécharger
8766_14.jpg
20
Télécharger
8766_15.jpg
20
Télécharger
8766_2.jpg
20
Télécharger
8766_3.jpg
20
Télécharger
8766_4.jpg
20
Télécharger
8766_5.jpg
20
Télécharger
8766_6.jpg
20
Télécharger
8766_7.jpg
20
Télécharger
8766_8.jpg
20
Télécharger
8766_9.jpg
20
Télécharger
📄
Télécharger le PDF
0