Chatbox
3 ème Mathématiques
Ajouter des photos
Chargement
0%
classi.tn
Connexion
Confirmer?
Supprimer
Annuler
+
Créer une publication
3 ème Mathématiques
Forum 3ème Math
Math
Physique
Sciences SVT
Informatique
Français
Espagnol
Italien
English
Allemand
عربية
التاريخ
الجغرافيا
التفكير الإسلامي
فلسفة
Membres
Math ( 93 )
devoir de synthèse N°1 3ème math avec correction
Voir Tout
3 ème Mathématiques
Annuler
Enregistrer
Rejoindre classe
Annuler
Enregistrer
Classi.tn
2022-08-09 • 12:17
Math
⋯
Ouvrir dans un nouvel onglet
Copier lien
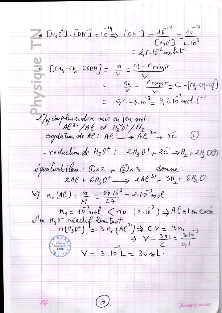
Correction de devoir de synthèse N°2
pilote sfax ( du 23/2) 3ème Maths
المشتركون والأعضاء الفاعلة في الموقع لهم أولوية التحميل، لكن يمكنك الانتظار 20 ثانية
اشترك الان
7530_1.jpg
20
Télécharger
7530_10.jpg
20
Télécharger
7530_11.jpg
20
Télécharger
7530_12.jpg
20
Télécharger
7530_2.jpg
20
Télécharger
7530_3.jpg
20
Télécharger
7530_4.jpg
20
Télécharger
7530_5.jpg
20
Télécharger
7530_6.jpg
20
Télécharger
7530_7.jpg
20
Télécharger
7530_8.jpg
20
Télécharger
7530_9.jpg
20
Télécharger
📄
Télécharger le PDF
0