Chatbox
3 ème Mathématiques
Ajouter des photos
Chargement
0%
classi.tn
Connexion
Confirmer?
Supprimer
Annuler
+
Créer une publication
3 ème Mathématiques
Forum 3ème Math
Math
Physique
Sciences SVT
Informatique
Français
Espagnol
Italien
English
Allemand
عربية
التاريخ
الجغرافيا
التفكير الإسلامي
فلسفة
Membres
Math ( 93 )
devoir de synthèse N°1 3ème math avec correction
Voir Tout
3 ème Mathématiques
Annuler
Enregistrer
Rejoindre classe
Annuler
Enregistrer
Classi.tn
2022-08-09 • 12:06
Math
⋯
Ouvrir dans un nouvel onglet
Copier lien
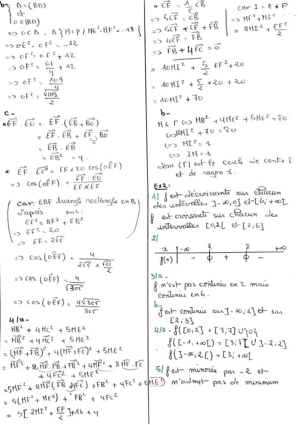
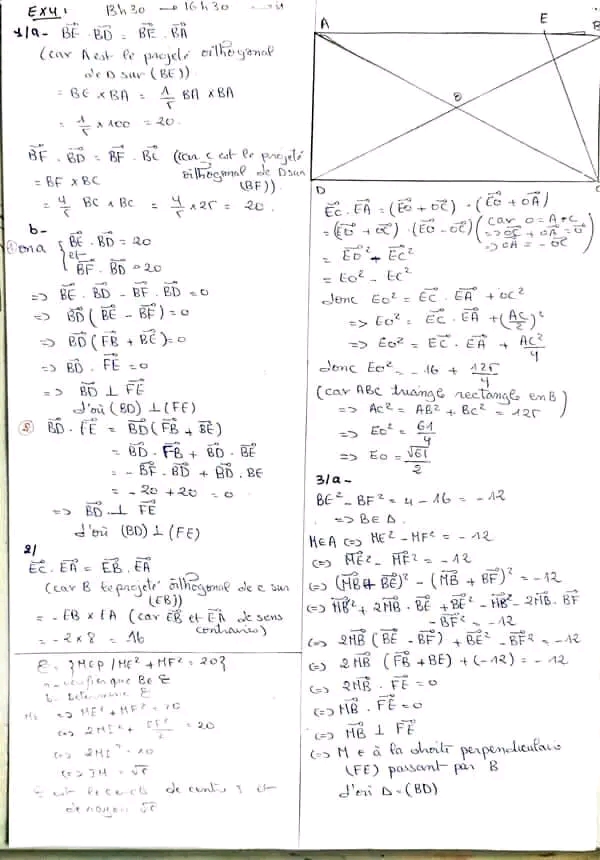
Devoir de contrôle 01
Niveau pilote
3eme math
Généralité sur les
Fonctions
Produit scalaire
المشتركون والأعضاء الفاعلة في الموقع لهم أولوية التحميل، لكن يمكنك الانتظار 20 ثانية
اشترك الان
7524_1.jpg
20
Télécharger
7524_2.jpg
20
Télécharger
7524_3.jpg
20
Télécharger
7524_4.jpg
20
Télécharger
7524_5.jpg
20
Télécharger
📄
Télécharger le PDF
0