correction proposée par Mr Douma Ali
**Du Magnifique devoir de Contrôle N°2 pour 3 ème maths 03/02/2023 de Lycée pilote Bourguiba de Tunis (L.P.B.T)**
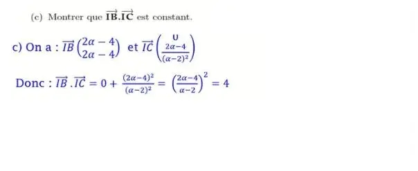
**Du Magnifique devoir de Contrôle N°2 pour 3 ème maths 03/02/2023 de Lycée pilote Bourguiba de Tunis (L.P.B.T)**




















