Chatbox

3 ème Mathématiques

Chargement 0%
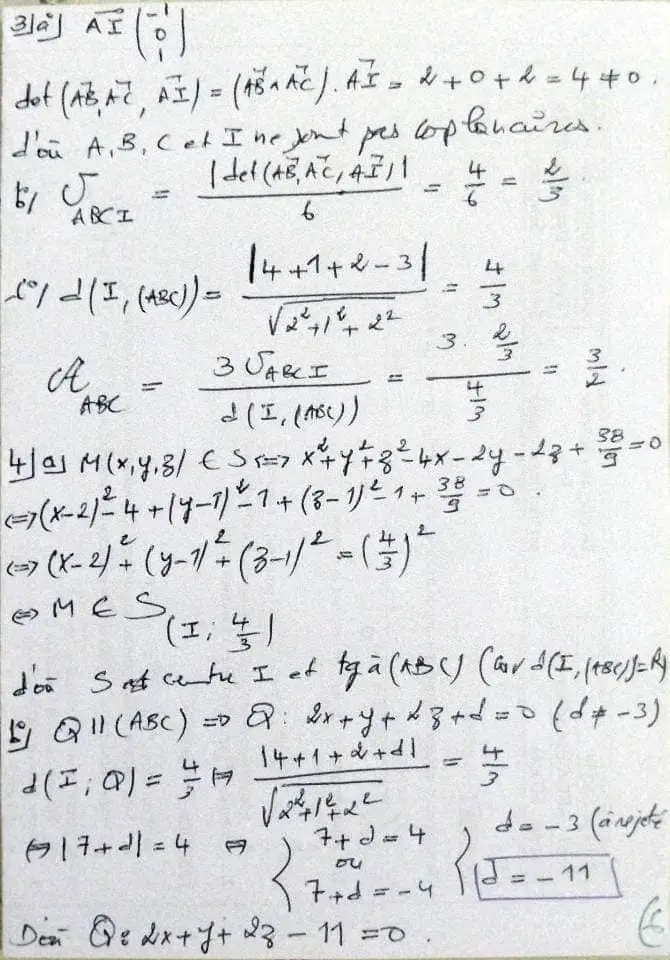
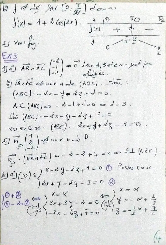
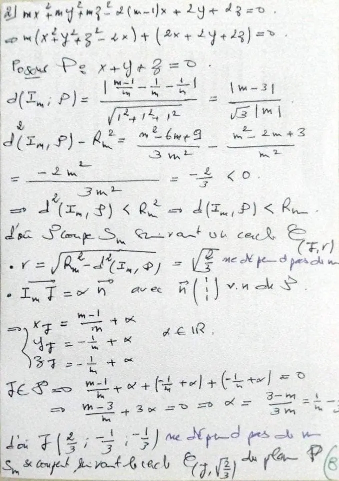
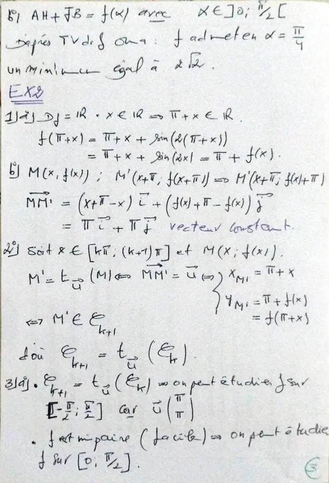
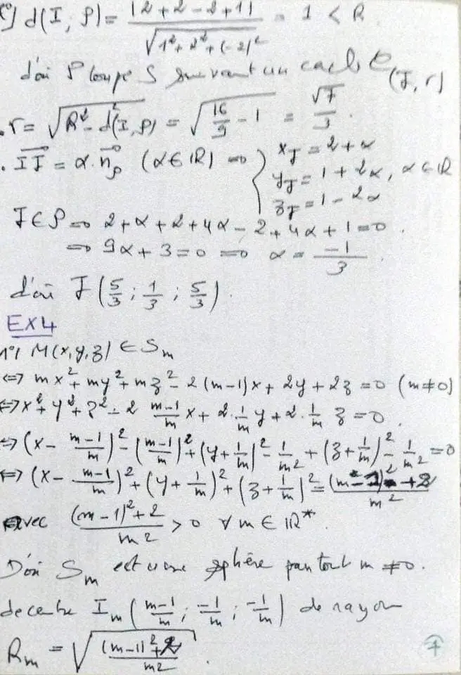
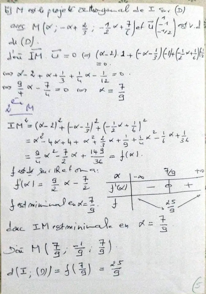
Aucun texte alternatif disponible.

Confirmer?


Photo de Classi.tn
🎯🎖3ème Math🎖🎯
🎯🎖Mathématiques🎖🎯
🎯🎖Devoir + Correction🎖🎯
Preview
24781_1.jpg
0
Preview
24781_10.jpg
0
Preview
24781_11.jpg
0
Preview
24781_12.jpg
0
Preview
24781_2.jpg
0
Preview
24781_3.jpg
0
Preview
24781_4.jpg
0
Preview
24781_5.jpg
0
Preview
24781_6.jpg
0
Preview
24781_7.jpg
0
Preview
24781_8.jpg
0
Preview
24781_9.jpg
0

Notre chaîne Classi.tn ❤️

Rejoignez notre communauté sur Messenger pour ne rien rater de nos actualités, astuces et contenus exclusifs !

Messenger
Classi.tn - Plateforme éducative tunisienne
Rejoindre la chaîne
Communauté active
Notifications exclusives
Contenus éducatifs