Chatbox
3 ème Mathématiques
Ajouter des photos
Chargement
0%
classi.tn
Connexion
Confirmer?
Supprimer
Annuler
+
Créer une publication
3 ème Mathématiques
Forum 3ème Math
Math
Physique
Sciences SVT
Informatique
Français
Espagnol
Italien
English
Allemand
عربية
التاريخ
الجغرافيا
التفكير الإسلامي
فلسفة
Membres
Physique ( 37 )
Devoir de Synthèse 1 - 3 ème Math
3 ème Mathématiques
Annuler
Enregistrer
Rejoindre classe
Annuler
Enregistrer
Classi.tn
2022-12-08 • 11:40
Physique
⋯
Ouvrir dans un nouvel onglet
Copier lien
Devoir de synthèse N°1physique avec correction
3ème Math Lycée pilote Sfax
المشتركون والأعضاء الفاعلة في الموقع لهم أولوية التحميل، لكن يمكنك الانتظار 20 ثانية
اشترك الان
13887_1.jpg
20
Télécharger
13887_10.jpg
20
Télécharger
13887_2.jpg
20
Télécharger
13887_3.jpg
20
Télécharger
13887_4.jpg
20
Télécharger
13887_5.jpg
20
Télécharger
13887_6.jpg
20
Télécharger
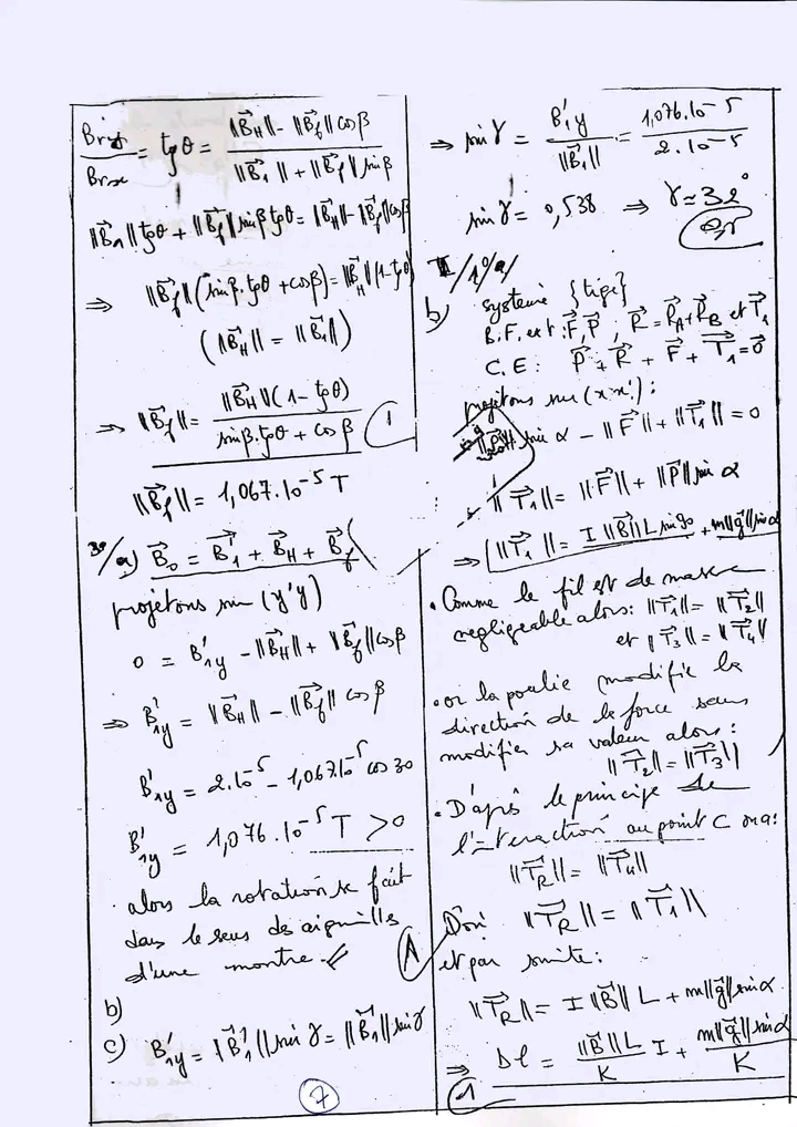
13887_7.jpg
20
Télécharger
13887_8.jpg
20
Télécharger
13887_9.jpg
20
Télécharger
📄
Télécharger le PDF
0