Chatbox
3 ème Sc Techniques
Ajouter des photos
Chargement
0%
classi.tn
Connexion
Confirmer?
Supprimer
Annuler
+
Créer une publication
3 ème Sc Techniques
Forum 3ème technique
Math
Physique
Informatique
فلسفة
التفكير الإسلامي
التاريخ
الجغرافيا
عربية
Français
English
Allemand
Espagnol
Italien
التربية التشكيلية
Electrique
Mecanique
Membres
Math ( 29 )
fonctions trigonomètriqie
Devoir de synthèse n°2 corrigé (3tec-2025)
3 ème Sc Techniques
Annuler
Enregistrer
Rejoindre classe
Annuler
Enregistrer
Classi.tn
2023-10-13 • 10:35
Math
⋯
Ouvrir dans un nouvel onglet
Copier lien
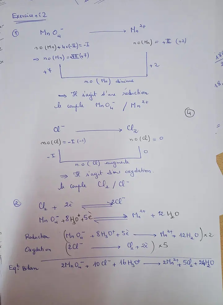
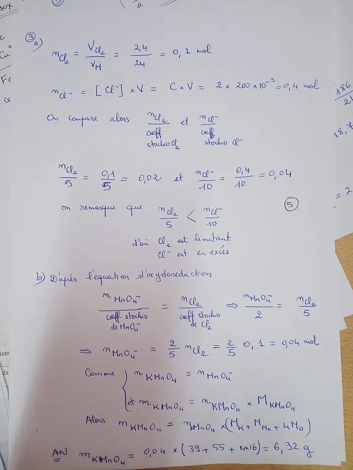
Devoir corrigé contrôle n1 pour 3eme M.sc.tech Pilote
Mercu à l'auditeur de cette épreuve
المشتركون والأعضاء الفاعلة في الموقع لهم أولوية التحميل، لكن يمكنك الانتظار 20 ثانية
اشترك الان
30468_1.jpg
20
Télécharger
30468_2.jpg
20
Télécharger
30468_3.jpg
20
Télécharger
30468_4.jpg
20
Télécharger
30468_5.jpg
20
Télécharger
30468_6.jpg
20
Télécharger
30468_7.jpg
20
Télécharger
30468_8.jpg
20
Télécharger
📄
Télécharger le PDF
0