Chatbox
3 ème Sc Techniques
Ajouter des photos
Chargement
0%
classi.tn
Connexion
Confirmer?
Supprimer
Annuler
+
Créer une publication
3 ème Sc Techniques
Forum 3ème technique
Math
Physique
Informatique
فلسفة
التفكير الإسلامي
التاريخ
الجغرافيا
عربية
Français
English
Allemand
Espagnol
Italien
التربية التشكيلية
Electrique
Mecanique
Membres
Physique ( 37 )
devoir contole 1 physique +correction3eme tech
3 ème Sc Techniques
Annuler
Enregistrer
Rejoindre classe
Annuler
Enregistrer
Classi.tn
2023-03-27 • 11:32
Physique
⋯
Ouvrir dans un nouvel onglet
Copier lien
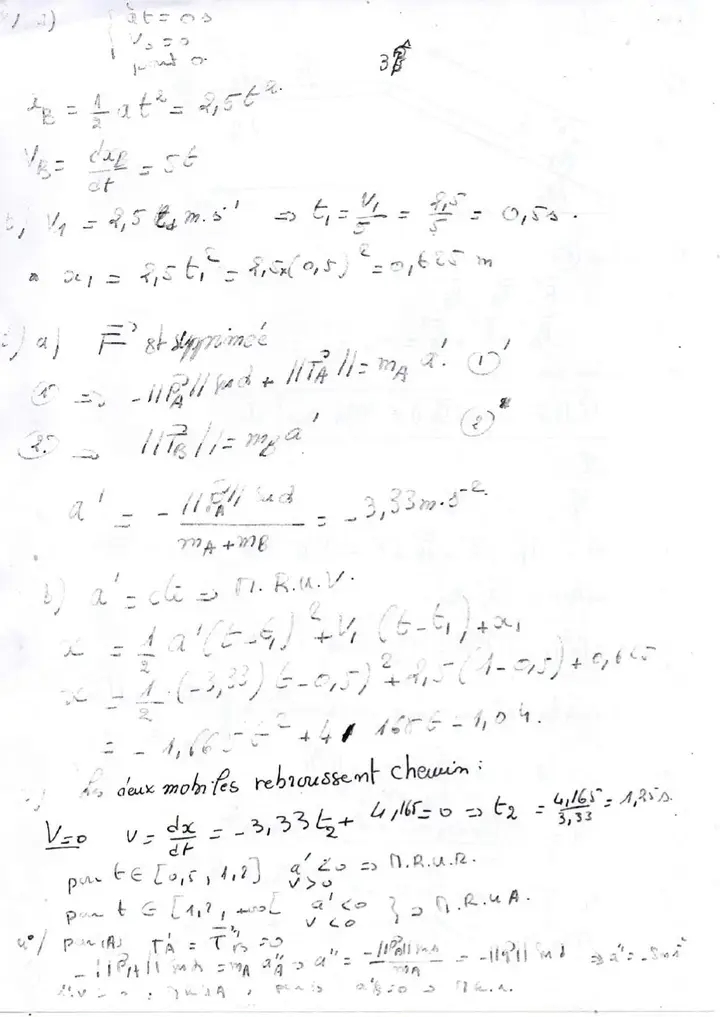
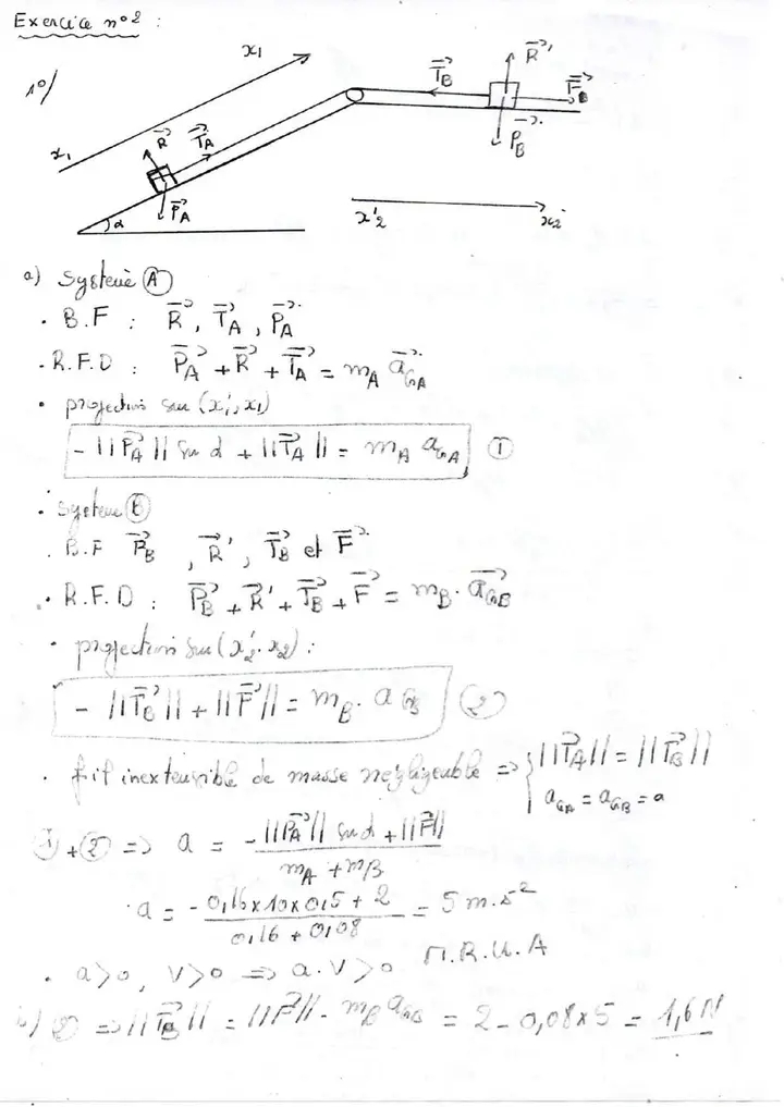
Devoir de synthèse N°2 corrigé
3ème Tech
شكرا لصاحب العمل
المشتركون والأعضاء الفاعلة في الموقع لهم أولوية التحميل، لكن يمكنك الانتظار 20 ثانية
اشترك الان
21796_1.jpg
20
Télécharger
21796_2.jpg
20
Télécharger
21796_3.jpg
20
Télécharger
21796_4.jpg
20
Télécharger
21796_5.jpg
20
Télécharger
21796_6.jpg
20
Télécharger
21796_7.jpg
20
Télécharger
📄
Télécharger le PDF
0