Mr Ammar Bouajila .....................L.pilote Kebili
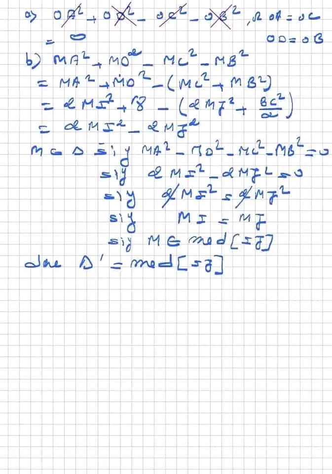
Correction serie n 2 .................. 3 sciences
G. sur les fonctions et P.scalaire
Correction serie n 2 .................. 3 sciences
G. sur les fonctions et P.scalaire










Rejoignez notre communauté sur Messenger pour ne rien rater de nos actualités, astuces et contenus exclusifs !