Chatbox
3 ème Sc expérimentales
Ajouter des photos
Chargement
0%
classi.tn
Connexion
Confirmer?
Supprimer
Annuler
+
Créer une publication
3 ème Sc expérimentales
Forum 3ème sciences
Sciences SVT
Math
Physique
Informatique
Français
English
Espagnol
Italien
عربية
التربية التشكيلية
تاريخ
جغرافيا
التفكير الإسلامي
فلسفة
Membres
Physique ( 130 )
Série n°6 Les acides carboxyliques aliphatiques saturés3SC
Étude expérimentale du mouvement d’un projectile3SC
Série n°7 Étude dynamique d'un solide en mouvement de translation
Voir Tout
3 ème Sc expérimentales
Annuler
Enregistrer
Rejoindre classe
Annuler
Enregistrer
Classi.tn
2022-09-29 • 19:10
Physique
⋯
Ouvrir dans un nouvel onglet
Copier lien
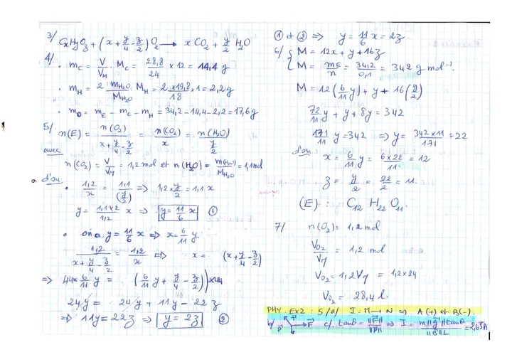
Devoir de synthèse N°1 3ème science
avec correction.
المشتركون والأعضاء الفاعلة في الموقع لهم أولوية التحميل، لكن يمكنك الانتظار 20 ثانية
اشترك الان
9949_1.jpg
20
Télécharger
9949_2.jpg
20
Télécharger
9949_3.jpg
20
Télécharger
9949_4.jpg
20
Télécharger
9949_5.jpg
20
Télécharger
9949_6.jpg
20
Télécharger
9949_7.jpg
20
Télécharger
9949_8.jpg
20
Télécharger
📄
Télécharger le PDF
0